這里,報道了關于如何調制石墨烯晶體管的電學性質,這反映了由2D材料和SiO2介電基板之間夾層偶極分子組成的納米厚度層的性質。由于電場處于低溫度,偶極分子中超分子指令程度度部分提高,在晶體管的轉移曲線中出現了滯后現象可以解釋這一現象。用源于相同的族和適當設計的分子與電介質表面相互作用,滯后現象消失。 DFT計算證實,通過外部電場修飾的分子表現出多個能量最小值,這一情況解釋了觀察到的熱穩定電容耦合作用。這項研究表明了設計和開發ad-hoc分子作為介電基板和石墨烯之間的中間層,是一個強有力的工具用于調控2D材料的電學特性。相反,石墨烯可以用作分子層穩定性的指標,通過深入了解偶極分子在電閘效應下的指令動力學。

Figure 1. 樣品設計:(a)石墨烯-分子層裝置,(b)傳統裝置的光學照片。

Figure 2.(a)分子1,2,3分別在SiO2基板上的N 1s XPS譜,(b)分子1,2,3分別在SiO2基板上的Si 2p XPS譜。

Figure 3. CVD石墨烯轉移到SiO2裝置上的晶體管轉移曲線:(a)樣品轉移到空白SiO2基板上,在室溫下測量,(b-d)基板被QZW分子層覆蓋,此時組成裝置的轉移曲線(分子1,2,3先后向石墨烯轉移)。

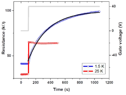
Figure 4. 石墨烯層在分子1上的阻抗隨著時間的演變圖。

Figure 5. 在施加電場下SiO2上的QZW分子由于旋轉導致偶極子演變。
?
該研究工作由法國斯特拉斯堡大學的Ather Mahmood等人于2019年發表在Nanoscale期刊上。原文:Tuning graphene transistors through ad hoc electrostatics induced by a nanometer-thick molecular underlayer(DOI: 10.1039/C9NR06407A)
|
|
| 您的稱呼 : | |
| 聯系電話 : | |
| 您的郵箱 : | |
| 咨詢內容 : | |
|
|