在富含乙烯的氣流中將乙炔選擇性加氫為乙烯是化學工業中的重要過程。Pd基催化劑由于其優異的氫化活性而被廣泛用于該反應中,盡管它們對乙炔氫化的選擇性和耐久性需要改進。本文中,報道了通過冷凍干燥輔助方法在氮摻雜石墨烯上成功合成原子分散的Pd單原子催化劑(Pd
1/N-石墨烯)。Pd
1/N-石墨烯催化劑在光熱加熱(紫外線和氙燈照射下的可見光)下,在過量的C
2H
4存在下,具有出色的活性和對C
2H
2與H
2氫化的選擇性,實現了99%的乙炔轉化率和在125°C下對乙烯的選擇性為93.5%。這種出色的催化性能歸因于催化劑表面上高濃度的Pd活性位點和乙烯在分離的Pd原子上的弱吸附能,從而阻止了C
2H
4的氫化。重要的是,Pd
1/N-石墨烯催化劑在最佳反應溫度為125°C時表現出出色的耐久性,這可以解釋為氮原子對Pd原子的強局部配位作用,從而抑制了Pd的聚集。此處提出的結果鼓勵人們更廣泛地追求基于太陽能的光熱催化劑體系,該體系基于用于選擇性加氫反應的單原子活性位點。

Figure 1. Pd
1/N-石墨烯的表征數據:a)TEM圖像、b)像差校正的HAADF-STEM圖像,以及c,d)EDS元素圖。
.png)
Figure 2. Pd1/N-石墨烯、PdO和Pd箔a)Pd K邊緣的XANES光譜、b)Pd K邊緣EXAFS光譜的k
2加權傅里葉變換。

Figure 3. a)Pd
1/N-石墨烯和Pd NPs/N-石墨烯在Pd 3d區域的XPS光譜;b)Pd
1/N-石墨烯和Pd NPs/N-石墨烯在N 1s區域的XPS光譜。

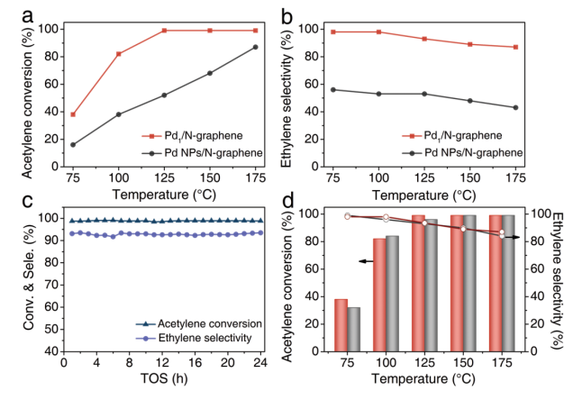
Figure 4. a)在過量乙烯存在下乙炔的選擇性加氫中,Pd
1/N-石墨烯和Pd NPs/N-石墨烯催化劑的乙炔轉化率隨反應溫度的變化;b)對于Pd
1/N-石墨烯和Pd NPs/N-石墨烯催化劑,乙烯選擇性隨反應溫度的變化而變化;c)Pd
1/N-石墨烯催化劑在125°C下超過24小時的耐久性測試;d)在光熱加熱(紫外可見輻射)和直接加熱(無紫外可見輻射)下,Pd
1/N-石墨烯的乙炔轉化率和乙烯選擇性的比較。

Figure 5. a)乙烯在Pd-N
4結構和Pd(111)表面上的吸附能;b)在Pd-N
4結構和Pd(111)表面上將吸附的乙烯氫化成*C
2H
5的能譜。
相關研究成果于2019年由中國科學院Tierui Zhang課題組,發表在Adv. Mater(DOI: 10.1002/adma.201900509)上。原文:Pd Single-Atom Catalysts on Nitrogen-Doped Graphene for the Highly Selective Photothermal Hydrogenation of Acetylene to Ethylene。