一個簡單而有效的方法,即在丁苯橡膠(SBR)復合材料中,采用乳液共混和冷凍干燥法制備了導電、可拉伸的還原氧化石墨烯(rGO)-碳納米管(CNT)網絡。通過一步水熱法制備了具有夾層結構的rGO-CNT雜化材料。在二維rGO薄片之間插入一維碳納米管作為間隔物,可以有效防止石墨烯片的重新堆積和碳納米管的團聚。此外,碳納米管與rGO片連接作為橋梁,促進了SBR復合材料中一維和二維互連網絡的構建。SBR/rGO-CNT(100/10.4)復合材料的電導率為3.62 S/cm,與SBR相比,電導率顯著提高了14個數量級。有趣的是,SBR/rGO-CNT復合材料在低拉伸應變下仍能保持較高電導率。SBR復合材料具有良好的導電性和拉伸性能,這主要是由于其具有一維和二維的相互通接網絡結構,這種網絡結構是由碳納米管連接rGO薄片構成的,能在低應變條件下發生變形。這項工作為制造多功能高導電性可拉伸復合材料和其實際應用提供了新的見解。

Fig. 1. (a) rGO-CNT雜化及SBR/rGO-CNT復合材料的制備示意圖;(b) GO-CNT雜化和(c) rGO-CNT雜化的SEM圖,(d) GO-CNT雜化和(e) rGO-CNT雜化的TEM圖。

Fig. 2 (a) CNT,(b) GO,(c) GO-CNT和(d) rGO-CNT的FTIR圖。

Fig. 3. GO、CNT、GO-CNT和rGO-CNT(20:3)的(a)拉曼和(b) XRD圖。

Fig. 4. (a) rGO、(b) CNT和(c) rGO-CNT的氮氣吸脫附等溫線和(d)比表面積(BET)。

Fig. 5. SBR/GO-CNT與SBR/rGO-CNT復合材料的TGA曲線。(b為a的部分放大)
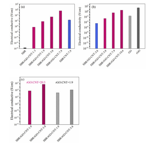
Fig. 6. SBR,SBR/rGO-CNT復合物的導電率,(b)還原處理對SBR復合材料電導率和石墨烯薄膜的影響,(c) rGO:CNT比例對SBR/rGO-CNT復合材料電導率的影響。

Fig. 7. 不同應變下SBR/GO-CNT和SBR/rGO-CNT復合材料的(a)電導率和(b)相應電導率變化圖。
.png)
Fig. 8. (a, b) SBR/rGO-CNT復合材料的(a, b)SEM圖和(c)TEM圖,(d)拉伸過程中雜化物再分布示意圖。
相關研究成果于2019年由上海交通大學Yong Zhang課題組,發表在
Carbon (
https://doi.org/10.1016/j.carbon.2019.04.037)上。原文:Conducting and stretchable composites using sandwiched graphene-carbon nanotube hybrids and styrene-butadiene rubber