通過兩步溶劑熱法合成了一種新型的可見光花狀CuS/石墨烯氣凝膠(CuS/GAs)光催化劑。CuS/GAs具有出色的吸附和光催化協同作用,可降解陰離子-陽離子染料,這歸因于GAs獨特的網絡結構和出色的光電性能。通過協同作用,甲基橙和亞甲基藍的高降解率分別為92%和99.36%,約為純CuS的4.1和3.2倍。花狀的CuS/石墨烯氣凝膠解決了GAs的低吸附飽和度問題,提高了CuS的光催化性能,表明CuS/GAs可能是一種有前途的廢水處理光催化劑。

Figure 1. CuS/GAs的宏觀照片和SEM圖像

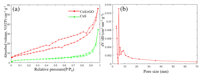
Figure 2. CuS/石墨烯氣凝膠的(a)N
2吸附-解吸等溫線和(b)孔徑分布

Figure 3. (a)染料的吸附效率,(b)染料的吸附/光催化降解,(c)染料溶液的吸收光譜變化,(d)染料的偽一級光降解動力學

Figure 4. CuS/GA的機制示意圖
相關研究成果于2019年由上海工程技術大學Ying Ding課題組,發表在Functional Materials Letters(DOI: 10.1142/S1793604719500024)上。原文:Synthesis of flower-like CuS/graphene aerogels for dye wastewater treatment。