鋰硫電池(LSBs)的可循環性和倍率性能的提高對于其進一步的實際應用至關重要。在這項研究中,我們通過在隔膜上應用ZnO/石墨烯薄膜以使隔膜功能化,將石墨烯的優異電導率和ZnO的化學吸附作用結合在一起,從而限制了多硫化物。為了確定極性材料的微觀結構對硫正極的尺寸和空心結構的電化學影響,設計了不同的ZnO結構,這些結構可以指導隔膜的有效功能化。系統的電化學測試結果表明,一維ZnO納米管和3D ZnO空心八面體由較小的納米粒子組成,可以提供足夠的活性位點以通過化學吸附作用吸附多硫化物。通道和中空結構中的空隙可能會局部凝結多硫化物,從而促進反應動力學。此外,一維通道可以定向加速電子傳輸并縮短離子傳輸距離,從而進一步提高反應動力學。這些優點并未被0D ZnO納米顆粒顯示。因此,一維ZnO/2D石墨烯(1D/2D)功能化的膜比3D ZnO/2D石墨烯(3D/2D)隔膜起更好地限制多硫化物的穿梭效應的作用,而0D/2D隔膜對多硫化物顯示出最差的阻滯性。帶有1D/2D隔膜的電池具有出色的循環性能(200個循環后在1C時為927 mA h/g)和高倍率容量(在6.0C時為754 mA h/g)。

Figure 1. (a)功能隔膜的合成過程和(b)LSBs中不同ZnO/石墨烯功能隔膜的硫電池的工作機理示意圖

Figure 2. 不同尺寸ZnO的FESEM和TEM圖像:(a–c)0D納米顆粒、(d–f)1D納米管和(g–i)3D八面體

Figure 3. (a)在1.7–2.8 V的電壓范圍內,相對于Li
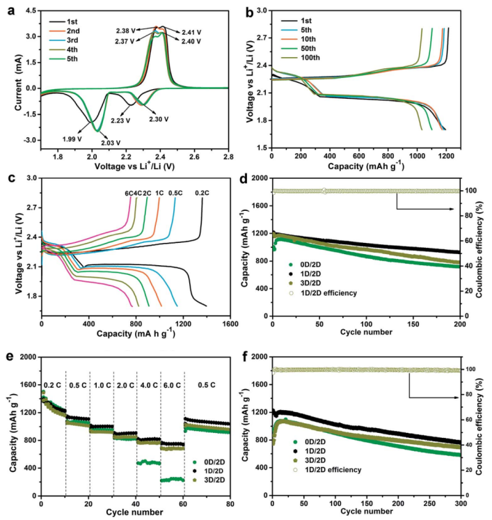
+/Li,硫//1D/2D在0.1 mV/s掃描速率下的循環伏安(CV)曲線;在1C的電流密度下,硫//1D/2D的(b)恒電流充電/放電曲線和(c)倍率性能;(d)循環性能(1C)、(e)倍率性能和(f)循環性能(2C)

Figure 4. 具有(a)原始隔膜、(b)0D/2D、(c)1D/2D、(d)3D/2D隔膜組裝的硫電池的自放電行為
相關研究成果于2019年由山東大學Baojuan Xi課題組,發表在J. Mater. Chem. A(DOI: 10.1039/c8ta12409d)上。原文:Insight into different-microstructured ZnO/graphene-functionalized separators affecting the performance of lithium–sulfur batteries。