石墨烯通過調整其空間電導性,可使主動控制等離子體的約束和傳播成為可能。但是,由于在不干擾石墨烯等離子體的電磁環境的情況下,很難控制電導模式,因此無法實上述概念。在此,我們演示了在透明的氧化鋅柵極誘導下,通過對石墨烯電子邊界處對等離子體反射/透射的全電控制,達到使石墨烯在太赫茲范圍內的電磁耦合最小化,從而可以將等離激元限制在所需區域內。該方法可應用于各種類型的等離子設備,從而為實現可編程等離子電路鋪平了道路。

Fig. 1設備結構。
.png)
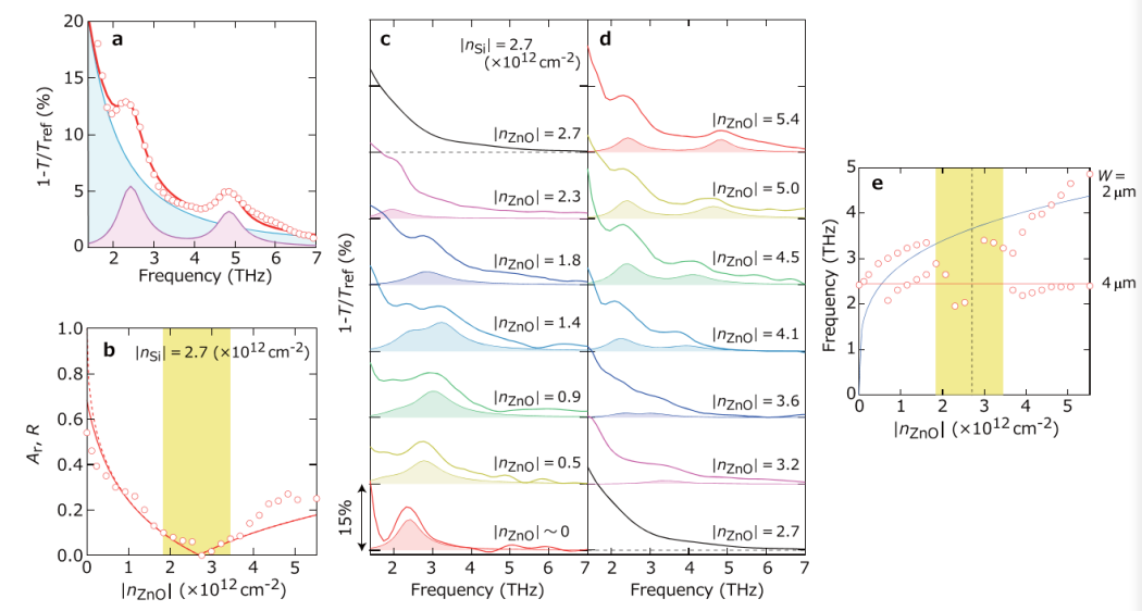
Fig. 2 代表性載流子密度分布的消光光譜。

Fig. 3 等離子體腔的選擇性激活。

Fig. 4 反射系數和共振頻率的演變。
相關研究成果于2020年由日本NTT基礎研究實驗室Norio Kumada課題組,發表在Communications Materials (https://doi.org/10.1038/s43246-019-0002-9)上。原文:Active spatial control of terahertz plasmons in graphene