我們使用第一性原理電子結構計算,研究了鋰嵌入雙層扭曲石墨烯中的影響。為了對該系統進行建模,采用了相應的超晶胞,它們對應于7.34°和2.45°的扭曲角。從鋰吸收的能量學上,我們證明了對于低的Li濃度,嵌入劑聚集在AA區域中,密度是均勻分布的兩倍。Li原子提供給石墨烯層的電荷會改變能帶結構,這種能帶結構可以使用參數空間區域中經過修改的層間耦合的連續模型定性地捕獲,但該參數空間尚未通過實驗或理論進行探索。因此,插入層和扭曲層的組合同時提供了對材料特性進行空間控制的手段,以及一個額外的旋鈕,可用來調節石墨烯扭曲雙層中的莫爾層物理特性,其潛在應用范圍從能量存儲和轉換到量子信息。

Figure 1. (a)在2.45°電池(實心圓)和7.34°電池(空心綠色圓)中,單個Li嵌入劑的嵌入能量E
I。(b)在松弛的2.45°石墨烯電池中,六個Li原子圍繞第七個Li原子(黑色)排列成一個圓形,該第七個Li原子位于AA區域的中心。(c)成對Li嵌入劑中每個原子E
I的平均嵌入能量與Li原子d
2之間距離的函數。(d)對于(b)中所示的七個Li原子的構型,E
I vs d
7。
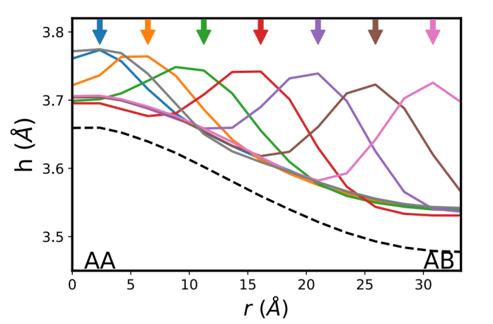
Figure 2. 以Å和AB區域之間的直線為中心,距離為r(Å)的5Å圓中,石墨烯層之間的平均間距h(Å)。

Figure 3. (a-c)2.45°扭曲雙層石墨烯電池的DFT能帶結構。(d)AA(AB)層間耦合增加(減少)30%的連續模型。

Figure 4. 7.34°電池帶有三個Li原子位于AA區域附近,電荷密度差異的俯視圖和側視圖。
相關研究成果于2020年由哈佛大學Efthimios Kaxiras課題組,發表在PHYSICAL REVIEW B(DOI: 10.1103/PhysRevB.101.075407)上。原文:Effects of lithium intercalation in twisted bilayer graphene。