使用高橫向分辨率的光譜顯微鏡研究了在高溫下Au在石墨烯-Ru(0001)界面上的嵌入機理。高于970 K時,Au不會粘附到石墨烯覆蓋的區域,這是金-石墨烯之間弱鍵合作用帶來的預期結果,這對于選擇石墨烯邊緣作為唯一的插入通道來說至關重要。隨著修飾過的StranskiKrastanov Au在具有兩個原子厚度潤濕層的Ru(0001)面上生長,在被微米尺寸石墨烯鱗片部分覆蓋的Ru(0001)表面上觀察到了3D石墨烯島。金層在石墨烯島內部和外部按照精準的規律成核,這種規律與各種配置中預期的Au吸附能具有直接關系。尤其是,從負載在Ru(0001)面上的單層金到插入在石墨烯-Ru界面處的單層Au,Au的吸附能降低,并且對于負載在Ru(0001)上的雙層Au則繼續降低。此外,金生長過程中不同階段的化學圖譜指出,當單層Au完全在石墨烯覆蓋區域以外時,石墨烯邊緣處顯著的動力學勢壘阻礙了插入。

Figure 1. a)Ru(0001)上Au的低能電子顯微鏡(LEEM)圖像。 顏色較深的曲線是金修飾的原子臺階和臺階束。b)在1030 K下添加7 L乙炔后同一表面的LEEM圖像,明亮部位為石墨烯島。c)在285 eV結合能下獲得的C 1s X射線顯微鏡(XPEEM)圖片。d)石墨烯島的內部和外部獲取的C 1s和Ru 3d 的XPS光譜。e)在結合能為84 eV時獲取的Au 4f XPEEM圖像。f)來自表面上三個不同區域的Au 4f
7/2 XPS光譜。

Figure 2. (a-d)在1030 K下,被石墨烯部分覆蓋的Ru(0001)上生長的Au的 LEEM序列。表面.Au的蒸發量從a)到d)依次為0.33 ML,0.55 ML,1.17 ML和2.14 ML。 在(c)中石墨烯島上的淺灰色部分為插入的前端部位。e)填充在石墨烯鱗片內外的金層的演變過程可以從(a)中標出的特定區域的LEEM強度上推算出來。

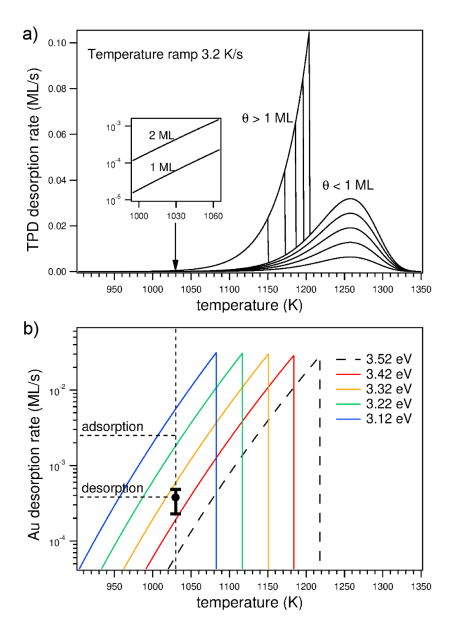
Figure 3. a)模擬的Au從Ru(0001)表面熱脫附圖像。b)取決于溫度的不同吸附能下的解吸速率。
Figure 4. a)C 1s和Ru 3d的XPS光譜。b)Au 4f的XPS光譜。光子能量為335 eV。 在左面板的底部還顯示了潔凈的Ru的光譜,以突出C 1s峰的貢獻。裸露和插入的金厚度均為兩層。 所有表面內核能級偏移的組分以淺藍色表示。

Figure 5. 在970 K下沉積3.4 ML Au的覆蓋層后,被石墨烯部分覆蓋的Ru(0001)表面。a)LEEM圖像顯示一個厚的金島部分插入在中央石墨烯島下。 所示區域涉及A:Gr/Au(2ML)/Ru,B:Gr/Au(3D)/Ru,C:Au(3D)/Ru和D:Au(2ML)/Ru。插層金的幾何形狀在插圖中展示。起始電壓為6V。b)來自LEEM圖像上標記的區域的橫向分辨Au 4f
7/2光譜。 插圖顯示在84.0 eV的結合能下獲得的對應的Au 4f XPEEM圖像。c)來自相同區域的C 1s光譜。 插圖是在284.5 eV的結合下能獲得的碳XPEEM圖像。也可觀察到弱的Ru 3d雙峰。光子能量為335 eV。

Figure 6.(頂部)Ru(0001)上Au沉積和嵌入的示意圖; (底部)與單個Au吸附原子的嵌入有關的電位分布在。勢能曲線說明在石墨烯邊緣的石墨烯-Ru相互作用更強,從而導致較大的插層勢壘。為便于觀察,能壘的高度和寬度被夸大,不應用于定量測量。
本研究于2020年慕尼黑工業大學的 S. G¨unther和ELETTRA SINCROTRONE TRIESTE 公司的T. O. Mente¸s發表于Carbon(https://doi.org/10.1016/j.carbon.2020.02.025)
原文:Au intercalation under epitaxial graphene on Ru(0001): The role of graphene edges