由過渡金屬雙鹵化物(TMDs)制成的原子薄半導體是研究強光與物質相互作用的模型系統,在納米光子學、光電子學和電子學等領域有廣泛的應用。然而,TMD單分子層的光致發光光譜顯示出大量的特征,而解釋這些特征尤其具有挑戰性。從實用的角度來看,基于單色TMD的發射器對于低尺寸器件將是有益的,但這一挑戰尚待解決。在這里,我們顯示了直接堆疊在TMD單層上的石墨烯,可以實現僅由TMD中性激子產生的單線和窄線光致發光。這種過濾效果來自于石墨烯對TMD的完全中和,以及將長壽命激子物種選擇性非輻射轉移到石墨烯上。我們的方法適用于四個基于鎢和鉬基TMD,并建立了TMD/石墨烯異質結構作為一組獨特的光電構建基塊,適用于以接近THz速率發射可見光和近紅外光子、且線寬接近均質極限的電致發光系統。
Fig. 1 石墨烯作為通用的發射過濾器。

Fig. 2 用石墨烯中和原子厚度的半導體。

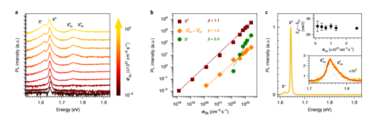
Fig. 3 BN封端的TMD/石墨烯在4 K時的激光功率與PL相關性。

Fig. 4 低溫激子動力學

Fig. 5 熱激子轉移至石墨烯的證據。
相關研究成果于2020年由斯特拉斯堡大學Stéphane Berciaud課題組,發表在Nature Nanotechnology(https://doi.org/10.1038/s41565-020-0644-2)上。原文:Filtering the photoluminescence spectra of atomically thin semiconductors with graphene