這里,將磺化聚合物納米管(SPNTs)用作碳源和載體,硝酸鐵用作鐵源,鹽酸多巴胺作為粘合劑和碳涂層,再通過高效的微波輔助方法制備得分散良好的多孔CNT@Fe3O4@C復合材料。由于碳層的覆蓋,Fe3O4納米顆粒穩定地固定在CNT上,這將有效抑制顆粒膨脹,粉碎和脫落,從而有助于電化學行為。相對于Fe3O4納米顆粒,其存儲量增強了兩倍。在電流密度為500 mA g-1時,該復合材料的比電容高達1039.3 mA h g-1,且顯示出優異的倍率性能和機械穩定性。

Figure 1.(a-b)W180-30樣品,(c-d)W180-60樣品,(e-f)W180-90樣品的SEM和TEM圖,(g-h)W180-60樣品的HRTEM圖。

Figure 2. W180-30,W180-60和W180-90樣品的(a)XRD圖和(b)TGA曲線。

Figure 3. (a-b)W180-30樣品,(c-d)W180-60樣品,(e-f)W180-90樣品的N2吸脫附等溫曲線和孔徑尺寸分布曲線。

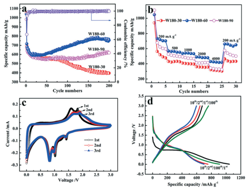
Figure 4.(a)三種樣品在500 mA g-1電流密度時的循環性能測試以及W180-60樣品的庫倫效率,(b)三種樣品的倍率性能,基于W180-60電極的(c)CV曲線和(d)GCD曲線。
該研究工作由新疆大學的Lang Liu課題組于2020年發表在CrystEngComm期刊上。原文:C@Fe3O4 nanoparticles anchored on carbon nanotubes with enhanced reversible lithium storage