盡管單原子催化劑(SAC)在工業意義上已取得實質性進展,但優越性能的來源,活性位點的本質以及反應途徑仍然存在爭辯。而且未還原基底上負載SAC用于CO氧化,目前對于該反應的了解還是有限的。這里,研究了Pd原子單分散在石墨烯(PdGr)上的CO氧化性能。結合第一原理熱力學計算和微動力學模型,證明了帶正電的PdGr具備相當高的CO氧化活性(低溫反應條件下)。在反應期間,Pd原子與O2強結合在一起,充當活性物質以轉化CO。經研究表明,該CO氧化反應主要遵循修訂的Langmuir-Hinshelwood途徑,且過氧化物中間體(O-O-C=O)的解離是決速步驟。所預測的催化性能可歸因于PdGr的特定電子結構,帶正電的Pd在石墨烯單空位上暴露了sp型邊界態。該工作為設計和建造SACs用于催化領域提供了重要的指導意義。

Figure 1. 計算的原子結構的頂視圖(左圖)和側視圖(左圖中的插圖),以及PdGr用于CO氧化過程中可能形成的反應物質的吉布斯自由能和溫度的依賴性(ΔG,右圖)。

Figure 2. PdGr遵循rLH途徑進行CO氧化反應所涉及的反應物種的最優結構,包括反應中間體,TSs和產物(a-i)和自由能(j)情況。 圖(a-i)中,C,O和Pd原子分別用棕色,紅色和銀色表示。 圖(j)中,方括號中的字母對應于(a-i)中所示的結構。

Figure 3. PdGr表面進行CO氧化過程時的反應途徑。在ER1,TER和rLH途徑上出現的反應物種分別用黑色,藍色,橙色和紫色線相連,而通過不同路徑共享的物種則通過共同的顏色線相連。每個反應路徑產生的物質用紅色字表示,而在微動力學模擬中其縮寫名用淺藍色標識。

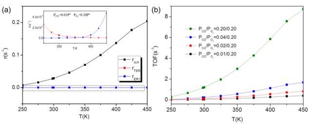
Figure 4. (a)在P
CO = 0.01 atm和P
O2 = 0.20 atm時反應速率隨溫度的變化情況,(b)在P
O2 =0.20 atm時,在不同P
CO/P
O2比例下,TOF隨溫度的變化情況。沿著TER和ER1途徑的反應速率相似,圖(a)中的插圖是對應的放大圖。
該研究工作由大連理工大學的Xin Liu課題組于2020年發表在ACS Catal.期刊上。原文:Superior Catalytic Performance of Atomically Dispersed Palladium on Graphene in CO Oxidation