報告了石墨烯中最小位錯環的結構和傳輸特性,這被稱為花缺陷。首先,通過先進的實驗成像技術,推斷出化學氣相沉積石墨烯的重結晶過程中如何形成花缺陷。提出花缺陷是由凸起類型的機理引起的,其中花域是動態再結晶留下的晶粒。接下來,為了評估此類缺陷作為全石墨烯電子產品構建基塊可能的用途,我們結合了多尺度建模工具來研究具有花朵缺陷隨機分布的大型單層石墨烯樣品的結構以及電子和聲子的傳輸性質。對于足夠大的花朵密度,發現強烈抑制了電子傳輸,而令人驚訝的是,空穴傳輸幾乎不受影響。這些結果表明花狀石墨烯可能用于電子能量過濾。對于相同的缺陷密度,由于缺陷引起的彈性散射占主導地位,聲子的傳輸量降低了幾個數量級。即使在非常低的濃度下,彎曲聲子(石墨烯的關鍵)的熱傳遞也被大大抑制。

Figure 1. (a)CVD石墨烯的HRTEM圖像。插圖:(a)中的快速傅立葉變換(FFT)和FFT所示的A方向的暗場圖像。(b)在素描的凸起成核機理中鑒定出對應于階段II或III的石墨烯凸起。五邊形和七邊形分別以綠色和品紅色突出顯示。

Figure 2. (a-d)與花相關的尺寸增加的實驗性缺陷。(e-h)DFT計算出與花朵相關的尺寸增加的缺陷:(e)單一花T
1、(f-g)帶有空位和原花的雙花,以及(h)三朵T
2。(i)一系列基于三角形的域T
n。

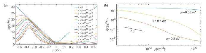
Figure 3. (a)在300 K的溫度下,單層石墨烯帶的電導率。(b)平均電導率與花濃度的關系。

Figure 4. (a)每個原子的狀態密度與能量的關系。(b)在E=-0.35 eV處的狀態密度(頂部)和局部光譜電流強度(底部)的局部變化,由(a)中的黃點表示。(c)與(b)相同,在E=0.2 eV時,由(a)中的綠點表示。(d)與(b)相同,在E=0.5 eV時,由(a)中的洋紅色點表示。
相關研究成果于2020年由格勒諾布爾-阿爾卑斯大學Alessandro Cresti課題組,發表在Carbon(doi.org/10.1016/j.carbon.2020.01.040)上。原文:Growth, charge and thermal transport of flowered graphene。
本帖摘自《石墨烯雜志》公眾號: