根據經典的摩擦定律,固體接觸的摩擦通常對法向載荷呈正相關。最近,我們觀察到納米級材料單粗糙接觸存在例外。在這里,本文報道了在不同溫度下微尺度單晶異質結中負摩擦系數的實驗觀察。結果表明,在加載和卸載過程中,石墨和白云母異質結界面均具有強大的負摩擦系數。分子動力學模擬表明,其潛在的機理是水分子在界面上的協同且非瑣碎重分布,導致受限的亞納米厚水膜具有更大的密度和更有序的結構。我們的結果有望應用于其他親水性的范德華異質結。
Fig. 1. 石墨/云母異質結中的NFC。

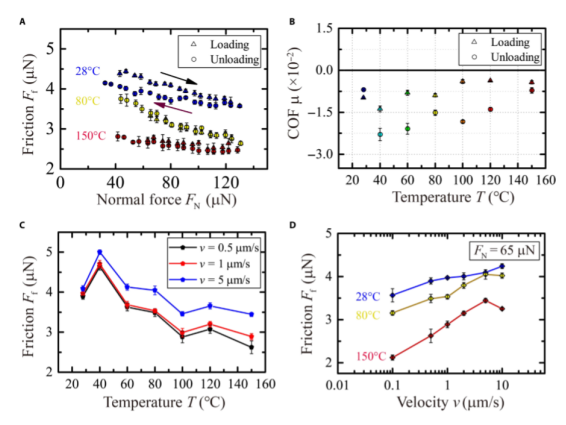
Fig. 2. NFC在不同溫度和速度的實驗測量。

Fig. 3. 石墨/云母異質結經RH ~60%處理后的摩擦力實驗測量。

Fig. 4. NFC的MD仿真結果。

Fig. 5. 實驗測量石墨/WSe
2異質結的載荷相關摩擦。
相關研究成果于2020年由清華大學Ming Ma課題組,發表在Science Advances (DOI: 10.1126/sciadv.aaz6787)上。原文:Negative friction coefficient in microscale graphite/ mica layered heterojunctions。
摘自《石墨烯雜志》公眾號: