低成本、高效的氫氣析出反應(HER)催化劑對于提高基于清潔氫氣的能源經濟性非常重要。由于二維二硫化鉬(2D MoS2)具有出色的催化性能,因此對其進行了深入研究。然而,大多數報道的合成是費時、復雜的并且效率較低的。本工作證明了通過超快(60 s)微波引發的方法生產MoS2/石墨烯催化劑。石墨烯的高比表面積和電導率為MoS2納米片的生長提供了良好的導電網絡,同時具有快速的電荷轉移動力學。生成的MoS2/石墨烯納米復合材料在酸性介質中對HER具有優異的電催化活性,起始電位低至62 mV、陰極電流高、Tafel斜率為43.3 mV/decade。MoS2/石墨烯不僅具有出色的催化活性,而且在250 mV的超電勢下,仍顯示出長的循環穩定性,并具有約1000 mA cm-2的非常高的陰極電流密度。此外,MoS2/石墨烯催化劑在30至120°C的溫度范圍內表現出出色的HER活性,具有36.51 kJ mol-1的低活化能,為實際的可擴展處理提供了機會。

Figure 1. 微波引發的MoS
2/石墨烯復合物的合成,用作HER的電催化劑。

Figure 2. (a,b)石墨烯薄片和(c,d)嵌入石墨烯的MoS
2層的SEM圖像;(e)MoS
2/石墨烯的HRTEM圖像;(f)MoS
2納米片和石墨烯的高倍率HRTEM圖像;MoS
2納米片的層間距離約為6.4;(g)MoS
2/石墨烯納米復合材料的低倍TEM圖像;(h)MoS
2納米片的SAED模式

Figure 3. HER催化劑的電化學性能:(a)LSV曲線;(b)相應的Tafel圖。電化學電容測量:(c)MoS
2/石墨烯的CV曲線;(d)MoS
2/石墨烯復合材料、MoS
2+石墨烯混合物和純MoS
2在不同掃描速率下的平均電容電流密度。

Figure 4. EIS測試:(a)用于模擬HER過程的等效電路;(b)EIS;(c)奈奎斯特圖;(d)R
ct與MoS
2/石墨烯催化劑的HER超電勢有關。

Figure 5. 穩定性測試:(a)MoS
2/石墨烯相對于RHE的循環穩定性;(b)時間依賴性;(c)在4000個周期后的CV曲線;(d)在進行4000次CV循環之前和之后,對MoS
2/石墨烯復合材料進行雙層電容測量。

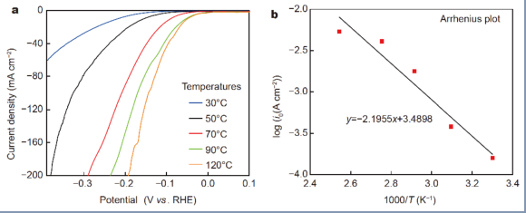
Figure 6. (a)MoS
2/石墨烯復合材料的LSV曲線(0.5 mol/L H
2SO
4);(b)MoS
2/石墨烯的相應Arrhenius圖
相關研究成果于2020年由奧本大學Xinyu Zhang課題組,發表在Sci China Mater(doi.org/10.1007/s40843-019-9555-0)上。原文:Facile microwave approach towards high performance MoS
2/graphene nanocomposite for hydrogen evolution reaction。
摘自《石墨烯雜志》公眾號: