近來,隨著建設資源節約型和環境友好型社會的概念,開發綠色、可持續和多功能材料的想法變得越來越緊迫。因此,如何探索更多有效和可持續利用生物質資源的可能途徑非常重要。本文首先通過浸漬和化學氣相沉積相結合的方法,制備了一種新型的環保、可持續的3D雙功能碳微管@氮摻雜還原氧化石墨烯(CMT@N-RGO)雜化材料。然后,將CMT@N-RGO雜化體作為出色的碳質支架,用于構建在能量存儲和電催化方面具有高性能的分層雜化體。最后,我們成功地制備了具有良好的超電容和優異的氧還原反應(ORR)的CMT@N-RGO/MnO
2和CMT@N-RGO/PANI雜化物。簡而言之,混合電池具有快速的充電/放電速率、出色的倍率性能,出色的電容保持率95%(93%)和高能效65-77%(61-72%)。另外,在氧還原反應中作為有效電催化劑的雜化體顯示出較大的正起始電勢0.12 V和半波電勢0.21 V,這可以與商用Pt/C電極相比。改進的電容和電催化性能主要歸因于CMT與NRGO/PANI(MnO
2)之間的協同作用。這些誘人的結果表明3D CMT@N-RGO/PANI(MnO
2)雜物有望成為用于超級電容器和ORR催化劑的高性能雙功能材料。希望它能為我們開辟一種通用的方式,以設計和制造更多具有出色電化學性能、出色的氧還原反應性能和其他出色性能的多功能生物質基材料。

Figure 1. (a,b)CMT和(c,d)CMT@N-RGO在不同放大倍數下的SEM圖像。(d)插圖是CMT@NRGO的EDS。

Figure 2. 在不同(a)掃描速率和(b)電壓窗口下,CMT@N-RGO的CV曲線。(c)在各種電流密度下,雜化物的GCD曲線。(d)CMT和CMT@N-RGO的奈奎斯特圖。

Figure 3. (a,b)CMT@N-RGO/MnO
2納米壁和(c,d)CMT@N-RGO/PANI納米棒在不同放大倍數下的SEM圖像。圖(b,d)所示的插圖分別是CMT@N-RGO/MnO
2納米壁和CMT@N-RGO/PANI的EDS。

Figure 4. CMT@NRGO/MnO
2和CMT@N-RGO/PANI在不同的掃描速率和電流密度下的(a)CV曲線,(b)GCD曲線,(c)電容保持率和(d)比電容和能效的比較。

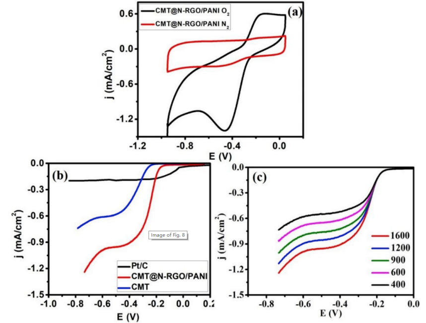
Figure 5. CMT@N-RGO/PANI雜化物的氧還原反應特性(a)在N
2和O
2飽和KOH溶液(0.1 M)中測試的CV曲線。(b)Pt/C,CMT和CMT@N-RGO/PANI的極化曲線的比較。(c)在不同轉速下,CMT@N-RGO/PANI的極化曲線。
相關研究成果于2020年由陜西科技大學Chuanyin Xiong課題組,發表在Journal of Power Sources, 2020, 447, 227387上。原文:Fabrication of eco-friendly carbon microtubes@nitrogen-doped reduced graphene oxide hybrid as an excellent carbonaceous scaffold to load MnO
2 nanowall (PANI nanorod) as bifunctional material for high-performance supercapacitor and oxygen reduction reaction catalyst。
轉自《石墨烯雜志》公眾號