以可再生沒食子酸為原料合成了生物基環氧單體GA-II。所含芳香基團使其能夠通過強的π-π相互作用被吸附到石墨烯表面,這已被拉曼光譜和UV光譜證實。GA-II錨定的石墨烯容易均勻分散在環氧樹脂中。固化后的石墨烯/環氧復合材料表現出優異的力學性能、優異的導熱性能和高導電性。僅添加2 wt% GA-II/石墨烯,復合材料的拉伸強度、拉伸模量、彎曲強度和彎曲模量分別提高了27%、47%、9%和21%。導熱率和電導率也分別提高了12倍(從0.15到1.8 W m
-1 K
-1)和8個數量級(從7.0×10
-15到3.28×10
-5 s cm
-1)。該研究為我們提供了一種高效環保的石墨烯分散劑,為制備性能優良的環氧/石墨烯復合材料提供了一種有效的方法。

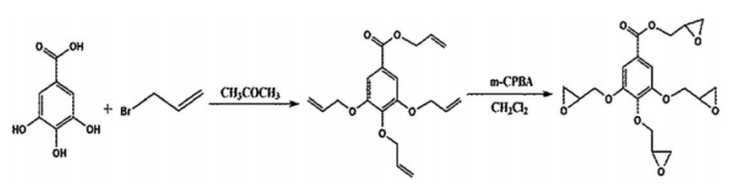
Scheme 1 沒食子酸型環氧(GA-II)的合成反應路線。

Fig. 1 GA,GA-I,GA-II的FT-IR光譜。
Fig. 2 GA-I(a1),GA-II(b1)的
1 H NMR光譜和GA-I(a1),GA-II(b2)的
13C NMR光譜。
Fig. 3 石墨烯和GA-II /石墨烯懸浮液的拉曼光譜。

Fig. 4 GA-II,GA-II /石墨烯和石墨烯懸浮液的紫外可見光譜

Fig. 5 (a) GA-II/石墨烯的AFM圖像、(b)溶液懸浮液沉積在基底上的原始石墨烯,(c) GA-II/石墨烯的TEM圖,(d,e)分散在環氧基體中的GA-II/石墨烯的TEM圖。
Fig. 6 環氧/石墨烯復合材料的導熱系數圖。

Fig. 7 環氧/石墨烯復合材料的電導率圖。
相關研究成果于2013年由寧波材料所Jin Zhu課題組,發表在J. Mater. Chem. A (DOI: 10.1039/c3ta01700a) 上。原文:How a bio-based epoxy monomer enhanced the properties of diglycidyl ether of bisphenol A (DGEBA)/ graphene composites。