具有混合鐵價態的黃鐵礦Fe7S8具有較高的理論容量,高電導率,低放電/充電電壓平臺,以及優異的氧化還原可逆性,但由于嚴重的體積變化,在(去)鉀化過程中會發生結構退化。為了解決這個問題,這里合成了一種新奇的分級結構,即碳納米管中限制納米級Fe7S8,并共價鍵合到3D多層石墨烯上(Fe7S8@CNT@3DFG),將其應用于鉀儲存。在Fe3C的催化作用下,通過尖端生長模型,CNT可以成功生長在3DFG表面。這種結構使得0 D納米Fe7S8限制在1D CNT上,進一步CNT到3DFG上,可有效緩沖體積變化,阻止Fe7S8納米顆粒的團聚,并增強離子/電子傳輸。該Fe7S8@CNT@3DFG電極可提供出色的倍率特性,和出色的長期循環穩定性(高達1300個循環)。此外,原位XRD和非原位XPS,HRTEM結果闡明了Fe7S8的高度可逆的鉀存儲機制。此外,使用Fe7S8@CNT@3DFG為陽極,普魯士藍鉀(KPB)為陰極,設計的鉀全電池實現了較高的能量密度(約為120Wh kg-1),具有廣闊的應用前景。

Figure 1. Fe7S8@CNT@3DFG的合成策略示意圖。

Figure 2. a–c)FESEM圖像,d,e)TEM圖像,f,g)Fe7S8@CNT@3DFG的高分辨率TEM圖像。 h)Fe7S8@CNT的典型HAADF-STEM圖像,和i-k)C,Fe和S的元素映射。
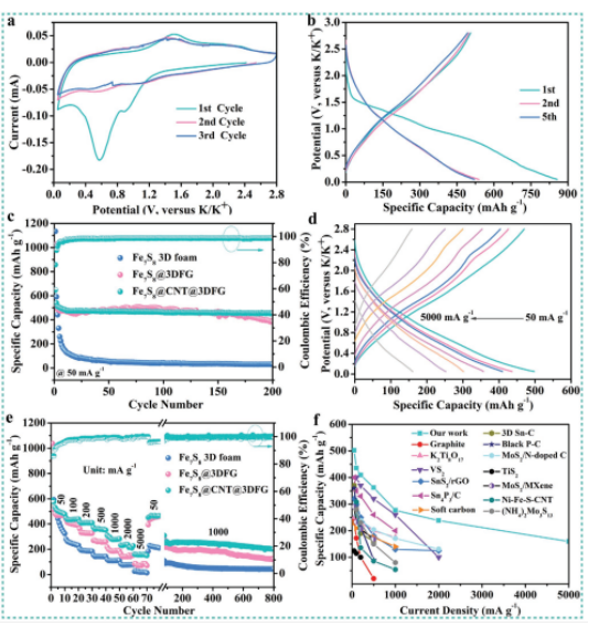
Figure 3. a)Fe7S8@CNT@3DFG電極在最初三個循環時的CV曲線。b)Fe7S8@CNT@3DFG電極在不同循環中的放電曲線。c)循環穩定性和庫侖效率。d)Fe7S8@CNT@3DFG電極在各種電流密度下的充電/放電曲線。e)倍率特性。f)與先前報道的工作做對比。

Figure 4. a–c)Fe7S8 3D泡沫電極在第一個(去)鉀化循環期間的原位XRD圖。d)在不同的充電/放電狀態下,Fe7S8 3D泡沫電極的非原位Fe 2p XPS光譜。e)Fe7S8鉀儲存機理示意圖,顯示了嵌入反應與轉化反應的結合。
該研究工作由北京科技大學劉永暢教授和李平教授課題組于2021年發表在Small期刊上。原文:Confining Pyrrhotite Fe7S8 in Carbon Nanotubes Covalently Bonded onto 3D Few-Layer Graphene Boosts Potassium-Ion Storage and Full-Cell Applications。
轉自《石墨烯雜志》公眾號