石墨烯具有較高的電子遷移率、柔性和穩定性,在下一代電子技術的發展中具有重要意義。然而,由于不存在帶隙,石墨烯晶體管的導電/截止電流比很差。引入能隙的一種方法是使用氫化反應,該反應將石墨烯轉變為具有sp
3鍵的絕緣石墨烷。在這里,我們表明,在包含離解氫離子的有機液體電解質中,通過可逆的電化學加氫作用,電場可用于控制微尺度石墨烯中的導體到絕緣體的轉變。完全氫化的石墨烯具有200 GΩ sq
-1的較低薄層電阻極限,因此在室溫下,石墨烯場效應晶體管的導電/截止電流比為108。該器件還具有很高的耐用性,具有高達1百萬次的開關周期。在雙層石墨烯中也觀察到類似的絕緣行為,而三層石墨烯在氫化后仍保持高導電性。石墨烯晶格的變化,以及從sp
2到sp
3雜交的轉變,通過原位拉曼光譜法得到證實,并得到第一性原理的計算支持。

Fig. 1 MLG中可逆加氫的電場控制。

Fig. 2 氫化MLG絕緣和開關行為的表征。

Fig. 3 BLG和TLG中可逆加氫的電場控制。

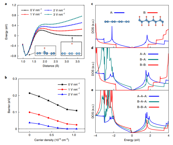
Fig. 4 氫化的MLG,BLG和TLG的DFT計算。
相關研究成果于2021年由清華大學Jinsong Zhang?課題組,發表在Nature Electronics(https://doi.org/10.1038/s41928-021-00548-2)上。原文:Large transport gap modulation in graphene via electric-field-controlled reversible hydrogenation。
轉自《石墨烯雜志》公眾號