本研究展示了一種簡單和通用的方法,以超級電容器應用的重復激光熱解方法為基礎,制備N和B共摻雜且同時致密的激光誘導石墨烯(NB-dLIG)。第一次激光熱解得到的LIG在其表面再包覆一層薄薄的聚酰胺酸/H
3BO
3,然后再進行激光輻照,使N和B雜原子同時致密化并合并到類石墨烯結構的LIG中。優化了H
3BO
3負載(1 wt%)和重復激光功率(2.4 W; NB1-dLIG-2.4) ,由于N和B共摻雜的協同作用,NB-dLIG的電容性能顯著提高。NB1-dLIG-2.4電極提供了104.3 mF/cm
2的比面積電容(C
A),這是在0.2 mA/cm
2時使用三電極組件的N摻雜dLIG (42.4 mF/cm
2)和未摻單熱解LIG (9.0 mF/cm
2)的近2.5和12倍。此外,采用NB1-dLIG-2.4和PVA-H
2SO
4凝膠電解質制備了固態柔性超級電容器,獲得了高C
A (40.4 mF/cm
2, 在0.05 mA/cm
2時),具有良好的循環穩定性、庫侖效率和機械靈活性。該工作為制備多雜原子摻雜LIG開辟了新的途徑,可用于各種電化學應用。
圖1. 制備氮硼共摻雜致密激光誘導石墨烯(NB-dLIG)的示意圖
圖2. (a)未摻雜sLIG、(b) N-dLIG和(c) NB1-dLIG-2.4的掃描電子顯微鏡(SEM) 俯視圖;(d) N-dLIG和(e) NB1-dLIG-2.4的橫斷面掃描電鏡圖像及其相應的高倍圖像(插圖)
.png)
圖3. (a) NB1-dLIG-2.4的透射電鏡(TEM)圖像;(b) NB1-dLIG-2.4的高分辨率TEM圖像顯示了晶格條紋
.png)
圖4. N-dLIG和NB1-dLIG-2.4的拉曼光譜
圖5. (a) N-dLIG和NB1-dLIG-2.4在結合能為0 ~ 800 eV范圍內的x射線光電子能譜(XPS)調查掃描譜,以及(插圖)在結合能在50 ~ 250 eV范圍內的擴展掃描譜;N-dLIG的(b) C1s和(c) N1s高分辨率光譜;NB1- dLIG-2.4的 (d) C1s、(e) N1s和(f) B1s高分辨率光譜
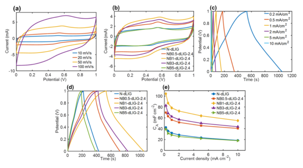
圖6. (a) NB1-dLIG-2.4電極在10 ~ 100 mV/s不同掃描速率下的循環伏安(CV)曲線;(b)在50 mV/s的經典掃描速率下,以不同的H
3BO
3負載和N-dLIG合成NB1-dLIG-2.4電極的CV曲線;(c) NB1-dLIG-2.4電極在0.2 ~ 10 mA/cm
2電流密度下的恒流充放電(GCD)曲線;(d)電流密度為0.2 mA/cm
2時,以不同的H
3BO
3負載和N-dLIG合成NB1-dLIG-2.4電極的GCD曲線;(e)不同H
3BO
3負載時合成的NB1-dLIG-2.4電極的比面積電容(C
A)隨電流密度的變化
.png)
圖7. (a)掃描速率為50 mV/s、二次激光熱解(1.2 ~ 5.4 W)時不同功率合成的NB1-dLIG電極的循環伏安(CV)曲線;(b)電流密度為0.2 mA/cm
2時,不同功率合成的NB1-dLIG電極的二次激光熱解的恒電流充放電(GCD)曲線;(c)電流密度為0.2 mA/cm
2時,比面積電容(C
A)隨二次激光熱解的變化規律;(d) NB1-dLIG電極在不同激光功率下的電化學阻抗譜(EIS)曲線及其插圖顯示了擴展的高頻區域
.png)
圖8. NB1-dLIG固態超級電容器(SC)在2.4 W功率(NB1-dLIG-SC)下二次激光熱解的電化學性能(a) NB1-dLIG-SC在掃描速率為10、20、50、100 mV/s時的循環伏安(CV)曲線;(b) NB1-dLIG-SC和N-dLIG-SC在掃描速率為50 mV/s時的掃描速率下的CV曲線比較;(c) NB1-dLIG-SC在0.05、0.1、0.2、0.5和1 mA/cm
2的電流密度下的恒流充放電(GCD)曲線;(d) NB1-dLIG-SC的比面積電容(C
A)與電流密度的關系;(e)電流密度為0.05 mA/cm
2時,NB1-dLIG-SC和N-dLIG-SC的GCD曲線比較;(f)電流密度為5 mA/cm
2時,NB1-d-LIG-SC的循環穩定性測試;(g) 電流密度為1ma /cm
2時,NB1-d-LIG-SC在不同彎曲半徑下的電容保持率;(h)使用CO2激光與之前報道的未摻雜和摻雜的LIG SCs和MSCs相比,NB1-dLIG-SC的比面積Ragone圖。
相關研究成果由韓國中央大學機械工程學院軟能源系統與激光應用實驗室的Mahima Khandelwal課題組于2021年發表在Chemical Engineering Journal (https://doi.org/10.1016/j.cej.2021.131119)上。原文:Nitrogen and boron co-doped densified laser-induced graphene for supercapacitor applications。
轉自《石墨烯雜志》公眾號