在本文中,我們提出了一個石墨烯在平面內變形下的完全非線性桿和彈簧模型。桿和彈簧的本構行為分別由修正的Morse勢和非線性鍵角勢定義。在考慮節點(原子)大位移的情況下,編寫了代表性晶胞的平衡方程,并使用能量準則評估了解的穩定性。沿扶手椅和鋸齒形方向的單軸載荷情況的解表明,石墨烯在小變形時是各向同性的,而在大變形時則表現出各向異性。此外,石墨烯在變形達到臨界值后表現出負泊松比。在等雙軸載荷的情況下,發現了多個平衡解,并且石墨烯可以經歷不對稱變形,盡管外部載荷是對稱的。然后,通過引入小位移假設,將平衡的非線性公式線性化。推導了楊氏模量和泊松比的表達式。

圖1. 石墨烯片被認為是一個桿-彈簧系統和通過在桿的中點放置虛擬原子而獲得的代表性晶胞。
圖2. 桿-彈簧模型元件的本構行為。(a)桿的軸向力和縱向拉伸之間的關系。(b)彈簧的彎矩和鍵角變化之間的關系。

圖3. 石墨烯的代表性晶胞受到平面內大變形的分析。(a) 參考構型和變形構型。每種模態都有兩個自由度,并引入約束以避免剛性運動。(b)由于鍵角變化而產生的在桿上的彎矩和剪力。
圖4. 對稱變形情況下石墨烯的代表性晶胞。(a)參考構型和變形構型。運動學簡化了,現在只由三個自由度控制。(b)變形構型中的內部作用。
圖5. 對代表性晶胞、扶手椅和鋸齒形載荷情況進行了分析。(a)扶手椅形加載方向(x方向)。(b)鋸齒形加載情況(y方向)。
圖6. 定義影響長度用于計算作用在等效連續體上的應力。(a)扶手椅形加載方向。(b)鋸齒形加載方向。

圖7. 扶手椅形和鋸齒形單軸載荷作用下石墨烯的平衡路徑。

圖8. 單軸載荷下石墨烯代表性晶胞的運動學。(a)扶手椅形加載:節點位移。(b)鋸齒形加載:節點位移。(c)扶手椅形加載:桿長變化。(d)鋸齒形加載:桿長變化。(e)扶手椅形加載:鍵角變化。(f)鋸齒形加載:鍵角變化。
圖9. 等效連續體的彈性性質隨變形的增加而變化。(a)切向拉伸剛度。(b)泊松比。
圖10. 代表性晶胞的變形模式及其對等效連續體泊松比的相應影響。(a)扶手椅形加載方向。(b)鋸齒形加載方向。
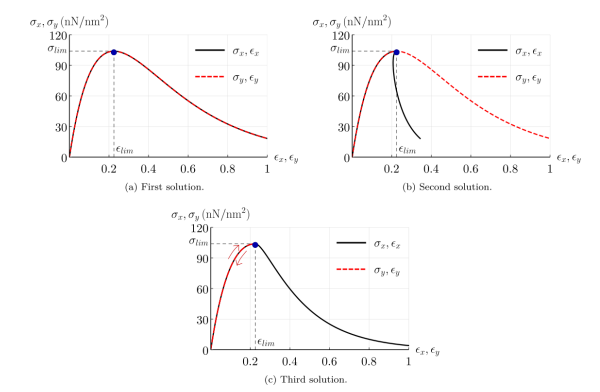
圖11. 等雙軸載荷作用下石墨烯的平衡路徑。在極限構型(ε
lim,σ
lim)之前解是唯一的,在此之后,可以找到三個獨立的解。(a)第一解。(b)第二解。(c)第三解。

圖12. 石墨烯代表性晶胞在等雙軸載荷作用下的運動學。(a)節點位移。(b)桿的長度變化和本構關系表明在每種構型中,桿受到相同的軸向力。
圖13. 石墨烯的穩定(實線)和不穩定(虛線)平衡路徑。(a)扶手椅和鋸齒形方向的單軸載荷。(b)等雙軸荷載。
相關研究成果由意大利“恩佐·法拉利”工程部、福州大學土木工程學院Matteo Pelliciari等于2021年發表在International Journal of Engineering Science (https://doi.org/10.1016/j.ijengsci.2021.103527)上。原文:A nonlinear molecular mechanics model for graphene subjected to large in-plane deformations。
轉自《石墨烯研究》公眾號