長期以來,石墨烯納米填料極低的厚度-長度比(長徑比)一直被認為對石墨烯-聚合物納米復合材料的整體導熱性能有利,因為其創造了較大的比表面積和額外的聲子傳輸通道。然而,有時長徑比較低的納米填料并不能產生預期的更高的熱導率。為了解釋這一現象,我們采用基于麥克斯韋遠場匹配石墨烯非理想界面的有效介質近似,探討了石墨烯納米填料的長徑比在有效導熱系數中的雙重作用。一方面,我們發現石墨烯熱網絡的開始僅依賴于長徑比。較低的長徑比傾向于促進熱通道的建立。另一方面,我們發現石墨烯界面熱系數與長徑比之間存在持久的指數關系,而與基體材料無關。較低的長徑比會導致較高的界面熱阻,從而可能導致較低的有效導熱系數。在這一理論框架下,這兩種效應是相互競爭的。討論了第二種效應的產生原因,在長徑比小于0.01的情況下,第二種效應是不能忽略的。這一雙重作用理論通過大量實驗觀察得到了證實。

圖1. (a)石墨烯-聚合物納米復合材料體系的示意圖,(b)高度扁圓形球狀石墨烯填料周圍有薄夾層,(c)石墨烯納米填料的幾何參數,以及(d)用紅色標記的石墨烯-石墨烯接觸區域。

圖3. 含有納米填料M
5、M
15和M
25的GNP-聚碳酸酯納米復合材料的熱導率:理論結果與實驗數據之間的比較。

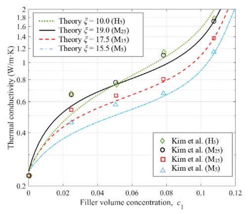
圖4. 含有納米填料M
5、M
15和M
25和H
5 的GNP-聚碳酸酯納米復合材料的熱導率:理論結果與實驗數據的比較。

圖5. 分別使用含有納米填料M
15和H
15的GNP-環氧納米復合材料的導熱系數:理論結果與實驗數據的比較。

圖6. 得到了石墨烯-環氧納米復合材料中石墨烯的熱界面系數隨納米填料長徑比的變化。

圖7. 得到了較寬基體-材料光譜的石墨烯納米復合材料中的石墨烯熱界面系數隨著納米填料長徑比的變化(環氧,聚碳酸酯,硅,石蠟,聚乙烯)。
相關研究成果由北京理工大學宇航學院力學系Chao Li等人于2021年發表在International Journal of Engineering Science (https://doi.org/10.1016/j.ijengsci.2020.103453)上。原文:A dual-role theory of the aspect ratio of the nanofillers for the thermal conductivity of graphene-polymer nanocomposites。
轉自《石墨烯研究》公眾號