開發低成本、耐用的用于氧還原和析氧反應的雙功能氧電催化劑是實現可充電Zn−空氣電池商業化的關鍵,但仍是一個巨大的挑戰。本工作采用通用的兩步熱解法制備了將N摻雜石墨烯包裹的CoNi納米合金嵌入到N摻雜碳納米管中。優化的CN@NC−2−80 0為ORR提供0.83V的正半波電位,在10 mA cm
-2下為OER提供了400 mV的小過電位,優于目前大多數非貴重的雙功能氧電催化劑。基于CN@NC−2−80 0的液態Zn−空氣電池具有1.52V的高開路電壓,172 mW cm
−2的大峰值功率密度,300 h的長循環壽命,而且研制的全固態Zn−空氣電池還表現出顯著的穩定性和不同程度的彎曲。這項工作為探索高效耐用的可再生能源電催化劑提供了一條簡單有效的途徑。

Figure 1. CN@NC催化劑合成路線示意圖。

Figure 2. (a) CN@NC−2−800的SEM, (b) TEM和(c) HRTEM圖像。(d)石墨烯層和(e) CoNi合金的晶格條紋。(f) CN@NC−2−800的EDX元素映射。
.png)
Figure 3. (a)樣品的XRD譜圖,(b)詳細的XRD譜圖,(c)拉曼光譜,(d)氮氣吸附-脫附等溫線和孔徑分布(插圖)。
Figure 4. 樣品的高分辨率XPS光譜(a) Co 2p, (b) Ni 2p, (c) N 1s, (d) c 1s。

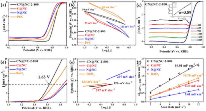
Figure 5. (a) CN@NC−2−800、C@NC、N@NC、Pt/C的ORR的LSV曲線和Tafel曲線。(c) CN@NC−2−800旋轉速率增大時的LSV曲線及其對應的K−L曲線(插圖)。(d) LSV曲線,(e) Tafel曲線,和(f) Cdl在1.147Vvs RHE 下, CN@NC−2−800,C@NC, N@NC,和RuO
2的OER。測試電解液為0.1 M KOH溶液。
.png)
Figure 6. (a) ORR 和 OER 中不同催化劑的總體極化曲線比較。(b) 液體ZAB 的示意圖。(c) ZAB 的開路圖。(d) 液態 ZAB 的充放電曲線和相關功率密度。(e) 比容量和 (f) 倍率放電曲線。(g) 液體 ZAB 在 10 mA cm
-2下的循環曲線。(h) 基于CN@NC-2-800的液態 ZAB驅動小風扇的照片。
.png)
Figure 7. (a)柔性ZAB的內部結構。(b) CN@NC−2−800制備的柔性ZAB開路圖。(c)柔性ZAB在2mA cm
−2下的循環曲線。(d)柔性ZAB在2 mA cm
−2下不同彎曲狀態下的循環曲線。(e)由兩個可彎曲的ZAB串聯發光的紅色LED照片。
相關研究工作由暨南大學Dingsheng Yuan課題組于2021年發表在《ACS Sustainable Chem. Eng.》上,原文:CoNi Nanoalloys @ N-Doped Graphene Encapsulated in N-Doped Carbon Nanotubes for Rechargeable Zn–Air Batteries。
轉自《石墨烯研究》公眾號