本文從理論上研究了單層石墨烯中極子的動力學和退相干性。利用線性組合運算和Pekar變分法得到基態和第一激發態的能量。然后,我們評估了一些極化子的性質,如有效質量、遷移率、光吸收系數、壽命和退相干時間。結果表明,在強磁場條件下,極化子的有效質量隨磁場場強的增大而增大,但隨Debye截斷波數(DCOW)的增大而減小。極化子的遷移率低、光吸收系數低,導致石墨烯中極化子的強退相干效應。發現磁場和DCOW對石墨烯中極化子的有效質量有相反的影響。結果表明,磁場改善了石墨烯的電子和光學性質,并控制了石墨烯的量子性質。我們的一些結果證實了實驗結果。因此,我們在極化子遷移率的研究中發現的結果與經驗結果是一致的。
圖1.
a. DCOW不同時極化子與磁場的有效質量,
b.磁場不同時的有效質量DCOW。

圖2. 磁場遷移率。
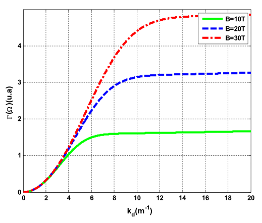
圖3. 不同B時的光系數吸收與DCOW。

圖4.
a.壽命與溫度,
b.壽命與DCOW。
圖5. 退相干時間與磁場。
相關研究成果由喀麥隆姜鎮大學理學院物理系凝聚態物質與納米材料C. Kenfack?Sadem等人于2021年發表在Journal of Low Temperature Physics (https://doi.org/10.1007/s10909-021-02616-5)上。原文:Dynamics and Decoherence of Polaron in Monolayer Graphene Under Magnetic Field。
轉自《石墨烯研究》公眾號