本文評價了石墨烯衍生材料在氮雜環無受體脫氫反應中的催化性能。其中,還原氧化石墨烯在溫和條件下(130℃)具有活性(23小時內的定量產率),并作為高效的多相碳催化劑。rGO至少在八次連續運行中表現出可重用性和穩定性。由實驗證據(即有機分子作為模型化合物,有意添加金屬雜質和選擇性官能團掩蔽實驗)支持的機理研究表明,酮羰基是這種轉化的優先活性位點。

圖 1. N-雜環的氧化脫氫和無受體脫氫之間的差異。后者對于H
2存儲很重要。在ADH中,H
2氣體被釋放,而在ODH中,氫被轉移到氧氣中并以H
2O的形式釋放。【圖例:GO,氧化石墨烯;AC、活性炭和rGO,還原氧化石墨烯】。

圖 2. 不同反應條件下rGO對1,2,3,4-四氫喹啉(1H)ADH的催化活性。

圖 3. 氮雜環腺苷脫氨酶的范圍。

圖 4. rGO作為碳催化劑催化氮雜環脫氫的活性。反應條件:四氫喹哪啶(3H,0.3 mmol),催化劑負載量(30mg rGo),以鄰二氯代苯(2.0 mL)為溶劑,溫度為130℃,轉化率用氣相色譜/火焰離子化檢測器(GC/FID)測定,以1,3,5-三甲氧基苯為內標。

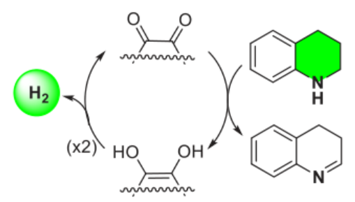
圖 5. N雜化環脫氫反應中的似是而非的機制,顯示了羰基的作用。
相關科研成果由海梅一世大學Hermenegildo García和Jose A. Mata等人于2021年發表在ACS Catalysis(https://doi.org/10.1021/acscatal.1c04649)上。原文:Reduced Graphene Oxides as Carbocatalysts in Acceptorless Dehydrogenation of N-Heterocycles。
轉自《石墨烯研究》公眾號