金屬磷化材料的高理論容量使其成為鋰離子電池的理想負極,但與其他高容量材料一樣,由于體積變化大,結構不穩定,其應用受到限制。在這里,我們設計了一個由Sn
4P
3納米顆粒組成的集成電極,夾在過渡金屬碳化物(MXene)納米片之間。四甲基氫氧化銨(TMAOH)通過產生帶有擴展層間距的MXene負電荷片,在這種夾層結構的形成中發揮了重要作用。強大的C-O-P氧橋接鍵使得Sn
4P
3納米粒子能夠在MXene層表面緊密錨定。sn4p3基納米復合材料具有較高的可逆容量,初始庫侖效率為82%,以及出色的速率性能(1519 mAh cm
-3的電流密度5A g
-1)。導電和靈活的MXene層兩側Sn
4P
3納米粒子提供所需的電導率和彈性空間適應了石化過程中Sn
4P
3的大體積變化。因此,在電流密度為1 A g
-1的情況下,Sn
4P
3@MXene混合電路在循環300次后表現出820 mAh g
-1的高性能。

圖1T-MXenes和磷酸化SnO
2@MXene納米復合材料的合成示意圖。

圖2。(a) SnO
2@MXene經磷處理后的XRD譜圖; (b)圖(a)中的XRD放大圖;SnO
2@MXene-5 (c, d)和Sn
4P
3@MXene-5的TEM圖像(e, f) Sn
4P
3的HRTEM圖像);SEM圖像(g)和EDS圖譜。

圖3。(a)樣品的XPS全光譜;SnO
2/MXene-5中Sn 3d (b)和C 1s (C)的高分辨率光譜以及Sn
4P
3@MXene-5的Sn 3d (d)、C 1s (e)和P 2p (f)的高分辨率光譜。

圖4。在0.01-3.0 V (vs Li/Li
+)電位范圍內,以0.1 mV s掃描速率,磷酸化SnO
2@MXene雜種前三個周期的CV曲線為:(a) SnO
2@MXene-5, (b) P-SnO
2-3@MXene-5, (c) P-SnO
2-5@MXene-5, (d) Sn
4P
3@MXene-5。

圖5 (a) Sn
4P
3@MXene-5在0.01 ~ 3.0 V (vs Li/Li
+)范圍內掃描速率為0.1 mV s
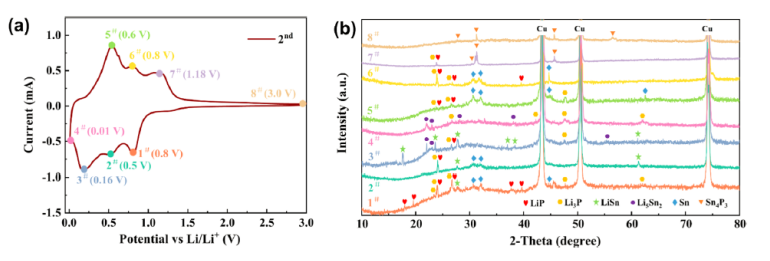
-1時的第二CV譜圖和(b)不同電位下循環電極片的非原位XRD譜圖。
圖6 磷化SnO
2@MXene雜化物的電化學性能。(a)第一次充放電曲線0.1A g
-1, (b)總結第一次充放電能力的轉換和合金化反應的過程,另外,和最初的庫侖效率(冰),(c)功能和容積率具體能力在不同電流密度從0.1到5 A g
-1,(d) Sn
4P
3@MXene-5電極與其他Sn基材料的速率性能的比較,(e)新電極的奈奎斯特圖。

圖7 (a) Sn
4P
3@MXene-5在0.2 mV s
-1的掃描速率下的電容貢獻,(b) Sn
4P
3@MXene-5在不同掃描速率下的電容貢獻比,(c) SnO
2@MXene-5和Sn
4P
3@MXene-5電極的GITT曲線,(d) SnO
2@MXene-5和Sn
4P
3@MXene-5電極對應的Li
+擴散系數的比較。

圖8 磷化SnO
2@ MXene雜化物在1 A g
-1下的長期循環性能。
相關科研成果由湖南大學Xiaohong Xia等人于2021年發表在ACS Applied Materials & Interfaces (https://doi.org/10.1021/acsami.1c17297)上。原文:Sandwich-Structured Sn
4P
3@MXene Hybrid Anodes with High Initial Coulombic Efficiency for High-Rate Lithium-Ion Batteries。
轉自《石墨烯研究》公眾號