研究了石墨烯板增強泡沫金屬(GPLRMF)矩形板的非線性強迫振動。人們對這種新型納米復合材料結構的主、超諧波和次諧波共振進行了研究。考慮了三種石墨烯片(GPL)模式和三種孔隙度分布。基于von Kármán非線性板理論,通過Hamilton原理得到了GPLRMF板的控制方程和一般邊界條件。通過引入應力函數,用伽遼金法得到了板的非線性常微分方程。然后,采用多尺度法求解了GPLRMF板的頻率響應和力響應關系;并進行效度研究以驗證本方法的有效性。結果表明,GPLRMF板在主共振和超諧共振中表現出硬化非線性。在主共振和超諧共振中,在中間表面分散更多的小孔隙或更多的GPLs將導致板的振幅和共振域更大。而均勻分布的孔隙或均勻分布的GPLs在次諧波的情況下會導致較大的振幅。此外,孔隙率系數或GPL質量分數的變化可以顯著改變GPLRMF板的非線性動力學行為。
.png)
圖1. GPLRMF矩形板和不同的孔隙率分布。
.png)
圖2. GPL不同分布模式。
.png)
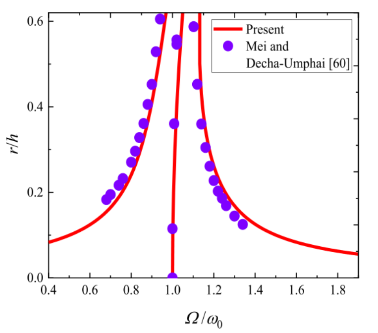
圖3. 簡支各向同性方板主共振頻響曲線比較。
.png)
圖4. 不同孔隙度分布時的主共振頻響曲線。
.png)
圖5. 不同GPL時的主共振頻響曲線。

圖6. 不同孔隙率系數時主共振頻響曲線。
.png)
圖7. 不同GPL重量分數W
G時主共振的頻響曲線。
.png)
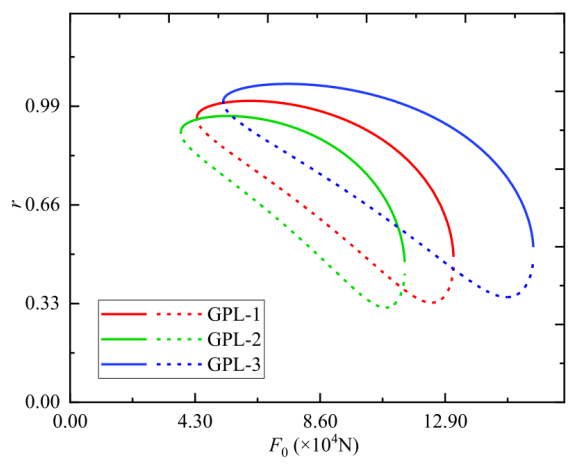
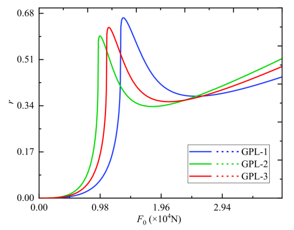
圖8. 不同GPL時主共振力響應曲線。
.png)
圖9. 不同孔隙度分布下超諧波共振的頻響曲線。
.png)
圖10. 不同GPL時超諧波共振的頻響曲線。
.png)
圖11. 不同孔隙率系數時超諧波共振的頻響曲線。
.png)
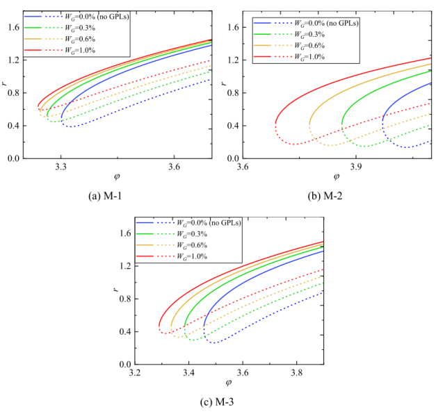
圖12. 不同GPL重量分數W
G時超諧波共振頻響曲線。
.png)
圖13. 不同GPL時超諧共振力響應曲線。
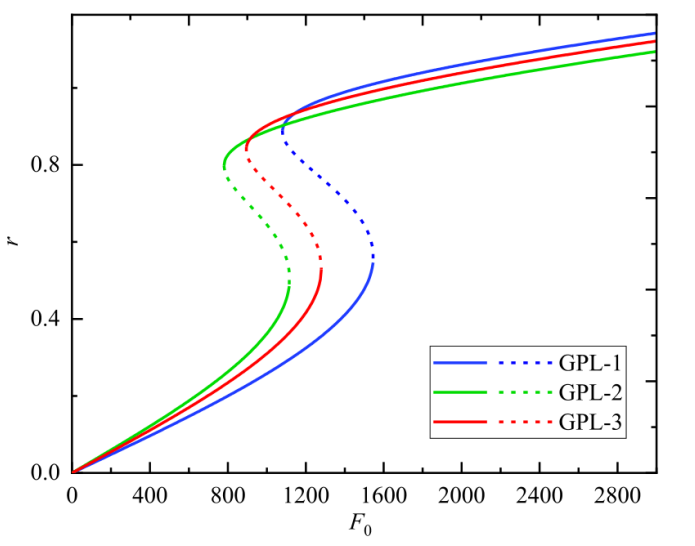
.png)
圖14. 不同孔隙度分布下的次諧波共振頻響曲線。
.png)
圖15. 不同GPL時次諧波共振頻響曲線。
.png)
圖16. 不同孔隙率系數時次諧波共振頻響曲線。
.png)
圖17. 不同GPL重量分數W
G時次諧波共振頻率響應曲線。

圖18. 不同GPL時次諧波共振力響應曲線。
相關研究成果由東北大學力學學系、東北大學深部金屬礦山安全開采教育部重點實驗室Mei Wen Teng和Yan Qing Wang等人于2021年發表在Thin-Walled Structures (https://doi.org/10.1016/j.tws.2021.107799)上。原文:Nonlinear forced vibration of simply supported functionally graded porous nanocomposite thin plates reinforced with graphene platelets。
轉自《石墨烯研究》公眾號