將廢舊鋰離子電池中的陽極活性材料石墨制備成氧化石墨烯,通過水熱還原法將其制成石墨烯氣凝膠。以剛果紅為染料污染物模型,研究了石墨烯氣凝膠輸入、污染物初始濃度、初始pH、溫度和吸附時間對剛果紅吸附性能的影響。分析了吸附過程的熱動力學。實驗結果表明,在最佳條件下,吸附率可達99%。石墨烯氣凝膠對剛果紅的吸附過程符合Freundlich等溫吸附模型。吸附過程為多分子層吸附,準二階動力學方程表明吸附過程為化學吸附。最大吸附量為53.91 mg g
-1,吸附活化能為72.49 kJ mol
-1。結果表明,利用再生陽極材料進行染料脫除具有較高的環境和經濟效益。

圖1. (a)石墨和(b)GO的XRD圖譜。

圖2. (a)石墨、(b)GO、(c)GA的SEM圖像。

圖3. GA(a)吸附前和(b)吸附后的SEM圖像。

圖4. 石墨、GO和GA的SEM圖像。

圖5. 吸附劑量對吸附速率的影響。

圖6. 初始染料濃度對吸附速率的影響。

圖7. 初始pH值對吸附速率的影響。

圖8. 吸附溫度對吸附效果的影響。

圖9. 吸附時間對吸附效果的影響。

圖10. (a)Langmuir方程的擬合曲線(b) Freundlich方程擬合曲線。

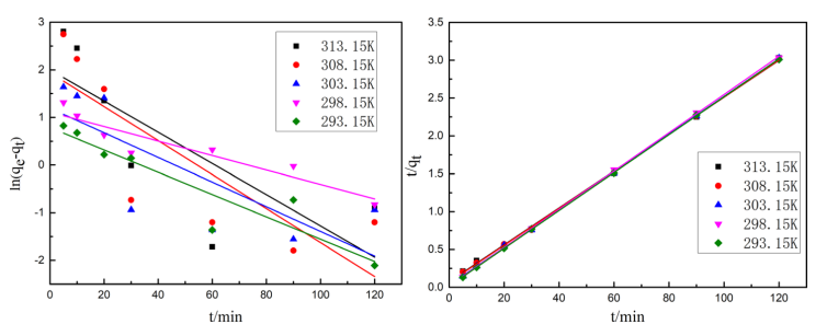
圖11. (a)準一階動力學方程擬合曲線; (b)準二階動力學方程擬合曲線。

圖12. Arrhenius方程的擬合曲線。

圖13. 剛果紅在石墨烯上的優化吸附構型。
相關研究成果由武昌首義學院城市建設學院、武漢理工大學化學化工與生命科學學院Y. Zheng等人于2021年發表在International Journal of Environmental Science and Technology (https://doi.org/10.1007/s13762-020-03114-z)上。原文:Efficient removal of Congo red with graphene aerogel derived from recycled anode of lithium?ion battery。
轉自《石墨烯研究》公眾號