熱整流(TR)作為一種有效的熱管理手段,在各種復雜的非對稱或異質結構中得到了廣泛的研究。由于實驗條件的原因,許多復雜的結構不易實現,遠低于室溫的低溫熱浴溫度也不符合設備的實際應用環境。在本文中,我們研究了由SiO
2和GaN交替組成的異質基底支撐的石墨烯內部的熱整流。熱流更容易從覆蓋在SiO
2側的石墨烯轉移到GaN側。當冷浴溫度保持在300k時,只改變了高溫熱浴的溫度,最大TR率約為52%。TR率可由熱源溫度和尺寸調節,當熱源尺寸為2 nm,溫度在450 K以上時,TR率最高。聲子態密度和參與率揭示了基底和位置對石墨烯中聲子輸運的影響。此外,能量密度譜分析證實了基底效應導致石墨烯彎曲聲子模的移動和聲子譜的重構,與PDOS吻合,進一步解釋了TR散射率和局部化程度的基本機制。

圖1. 仿真模型示意圖。

圖2. 在熱源溫度為360 K時,石墨烯與基底對應的不同熱流方向典型溫度分布。

圖3. 不同熱源溫度下的TR率。

圖4. 石墨烯在不同熱源溫度(400、460、500、540K)下的典型溫度分布。

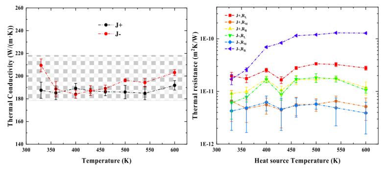
圖5. (a)石墨烯的導熱系數(b) R
L、R
M、R
R的熱電阻。

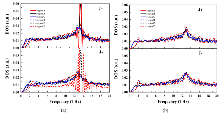
圖6. 熱源溫度為(a)400 K和(b)540 K的6個區域的PDOS。

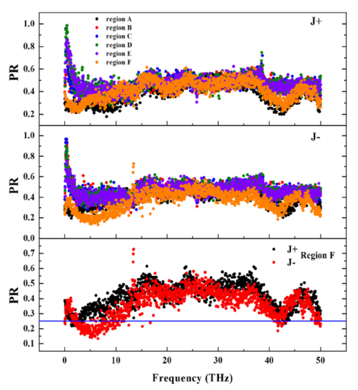
圖7.六個區域兩個方向的聲子參與率(PR)譜。

圖8. 不同熱浴尺寸下的TR率。
圖9. 不同熱浴尺寸下石墨烯的典型溫度分布。

圖10. 熱源長度為(a)1 nm和(b)5 nm的6個區域的PDOS。

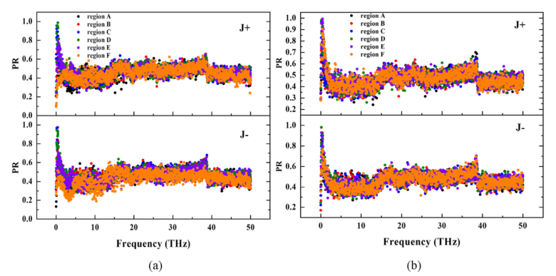
圖11. 熱源長度為(a)1 nm和(b)5 nm的6個區域的PR。

圖12.(a)300k和(b)600k時懸浮石墨烯的SED譜,(c)300k和(d)600k時石墨烯在SiO
2上的SED譜,(e)300k和(f)600k時石墨烯在GaN上的SED譜。
相關研究成果由中國石油大學能源與動力工程系Guofu Chen等人于2022年發表在Carbon (https://doi.org/10.1016/j.carbon.2022.01.012)上。原文:Thermal rectification effect of pristine graphene induced by vdW heterojunction substrate。
轉自《石墨烯研究》公眾號