利用還原氧化石墨烯(rGO)和單斜晶二氧化鈦(TiO
2 (B))納米材料的獨特性能,rGO 和 TiO
2在尼龍膜上的紫外光輔助自組裝,構建了一種新型rGO-TiO
2 (B)復合膜(MrGO-TiO
2 (B))。通過掃描電子顯微鏡、透射電子顯微鏡、紫外可見漫反射光譜、X 射線光電子能譜和 X 射線衍射分析對 MrGO-TiO
2 (B)的結構進行了表征。通過 2D/2D 自組裝,rGO 和 TiO
2 (B) 結合得更緊密,然后是 MrGO-TiO
2(B)表現出優異的光催化活性和優異的亞甲藍(MB)去除率。在太陽模擬氙燈照射下,MrGO-TiO
2 (B)/H
2O
2 /MB 系統在 60 分鐘內以 0.042 min
-1的恒定速率完全去除 MB。rGO和TiO
2 (B)的協同作用促進了MB的光催化降解。TiO
2 (B)在照射時被激發并產生電子和空穴。部分電子遷移到 TiO
2 (B) 表面與 H
2O
2反應生成羥基自由基,而其他電子遷移到rGO表面與H
2O
2反應,產生•OH。此外,檢測到許多超氧自由基(O
2 -)。TiO
2 (B)價帶中的空穴直接氧化MB。經過四輪重復使用后,MrGO-TiO
2 (B) 對 MB 降解的催化活性保持穩定。因此,用 TiO
2 (B) 和 rGO對尼龍膜進行表面改性可以作為制備用于水處理行業的光催化膜的有前景的途徑。

Figure 1. (a) TiO
2 (B) 和 (b) MrGO-TiO
2 (B)(1:20)的 TEM 圖像。(c) rGO 膜和 (d) MrGO-TiO
2 (B)(1:20) 的 SEM 圖像。

Figure 2. 不同樣品的結構表征。(a) GO、TiO
2 (B)和MrGO-TiO
2 (B)的XRD圖譜;(b) TiO
2 (B)的N
2吸附-脫附等溫線和孔體積分布;(c) TiO
2 (B)的紫外-可見漫反射光譜;(d) MrGO、TiO
2 (B)和MrGO-TiO
2 (B)的紫外-可見吸光度;(e) MrGO 的 XPS C1s 光譜,和 (f) MrGO-TiO
2 (B) 的 XPS C1s 光譜。

Figure 3. (a) TiO
2 (B), (b) MrGO, (c) MrGO-TiO
2 (B) (1:1), (d) MrGO-TiO
2 (B) (1:5)的原子力顯微鏡圖像, ( e) MrGO-TiO
2 (B) (1:10),和 (f) MrGO-TiO
2 (B) (1:20)。

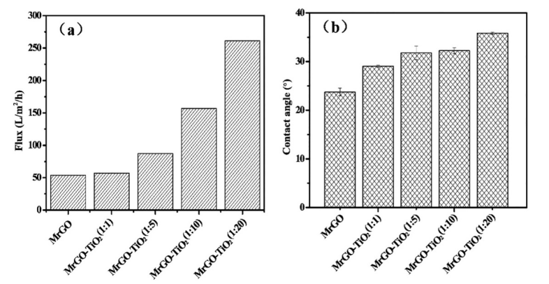
Figure 4. 不同膜的水通量(a)和接觸角(b)。

Figure 5. (a) MB去除的時間演化,(b) 不同體系的速率平衡常數,(c) 初始 TiO
2 (B) 含量和 (d) MrGO-TiO
2 (B) 中速率平衡常數對 MB 降解的影響太陽模擬氙燈照射(反應條件:C
0 (P25) = 0.08 g/L, C
0 (TiO 2 (B)) = 0.08 g/L, C
0 (H
2O
2 ) = 20 mM, C
0 ( MB) = 10μM,500 W 氙燈)。

Figure 6. (a)不同膜的礦化率和 (b) MrGO-TiO
2 (B) 在太陽模擬氙燈照射下的可重復使用性。

Figure 7. (a) DMPO-•OH 和 (b) DMPO- O
2 -加合物的 EPR 光譜。

Figure 8. MrGO-TiO
2 (B)/H
2O
2體系中染料光降解機理示意圖。
相關研究工作由浙江大學Baoliang Chen 課題組于2022年在線發表于《Science of The Total Environment》期刊上。原文:Reduced graphene oxide/TiO
2(B) immobilized on nylon membrane with enhanced photocatalytic performance。
轉自《石墨烯研究》公眾號