由于成本低、理論容量高,g-C
3N
4被稱為鈉離子電池的潛在負極。然而,其較差的電子導電性和結構穩定性阻礙了其實際性能。在這里,使用簡單的凝膠涂層-煅燒方法得到 g-C
3N
4@carbon 復合材料(CCN)。得益于增加的吡啶氮含量和電子電導率以及蓬松多孔結構,CCN 在 0.1/3 A g
-1 時表現出 250/183 mAh g
-1 的高放電容量和 180 mAh g
-1 的長期循環性能 1 在 0.5 A g
-1下1600次循環。 此外,CCN//Na
3V
2(PO
4)
3全電池表現出良好的循環穩定性。

圖 1. (a) CCN 制備過程示意圖。 (b) C、CN 和 CCN 的 XRD 圖譜。 (c) FTIR 光譜,(d) 拉曼光譜,(e) N 1s XPS 光譜,(f) 不同 N 物種的百分比,和 (g) CN 和 CCN 的 C 1s XPS 光譜。

圖 2. (a) CN 和 (b, c) CCN 的 SEM 圖像。 (d) 低分辨率和 (e, f) 高分辨率 TEM 圖像和 (g) CCN 的元素映射。
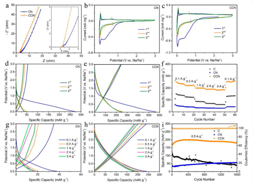
圖 3. (a) CN 和 CCN 的全部和部分放大(插圖)奈奎斯特圖。 (b) CN 和 (c) CCN 在 0.2 mV s
-1 時的 CV 曲線。 (d) CN 和 (e) CCN 在 100 mA mg
-1 下的第一到第三個充放電曲線。 (f) CN 和 CCN 從 0.1 到 3 A g
-1 的速率性能。 (g) CN和(h) CCN在不同電流密度下的充放電曲線。 (i) CN 和 CCN 的循環壽命。

圖 4. (a) CN 和 (b) CCN 不同掃描速率下的 CV 曲線。 (c) log(v) 與 log(i) 圖。 (d) CN 和 CCN 的贗電容貢獻。(e) CN和(f) CCN的GITT曲線和Na+擴散系數。(g) CCN//Na
3V
2(PO
4)
3全電池結構示意圖。 (h) Na
3V
2(PO
4)
3 和 (i) CCN//Na
3V
2(PO
4)
3 的循環壽命。
相關研究成果由寧夏大學Jinhui Yang、湖南大學Xiongwei Wu和湘潭大學Bei Long等人2022年發表在ACS Applied Energy Materials (https://doi.org/10.1021/acsaem.2c01700)上。原文:Tuning N-Species of Graphitic Carbon Nitride for High-Performance Anode in Sodium Ion Battery。
轉自《石墨烯研究》公眾號