無金屬碳材料已成為兩電子氧還原反應(ORR)制備過氧化氫(H
2O
2)的高性能、高性價比催化劑。在這里,展示了具有可控氧和缺陷構型的3D皺縮石墨烯,顯著改善了 H
2O
2 的電催化生產。具有最佳缺陷結構和氧官能團的皺縮石墨烯電催化劑在0.05~0.7 V(與可逆氫電極相比)的寬電位范圍內表現出92~100%的H2O2選擇性,在堿性介質中0.65 V時,獲得了158 A g-1的高質量活性。此外,皺縮的石墨烯催化劑在0.4 V(vs.RHE)下表現出較高的473.9 mmol gcat-1 h-1的H2O2生成速率和46 h以上的穩定性。此外,利用密度泛函理論(DFT)計算,通過OOH和O吸附強度之間的標度關系揭示了官能團和缺陷位在雙電子ORR途徑中的作用。這項研究建立了高效合成H2O2的功能化碳催化劑的結構-機理-性能關系。

Figure 1. (a)掃描電子顯微鏡(SEM,插圖:顆粒的尺寸分布),(b)透射電子顯微鏡(TEM)和(c)具有OCG-800 d-間距分布的高分辨率TEM(HRTEM)。 (d) 拉曼光譜、(e) X 射線光電子能譜 (XPS) 、高分辨率 (f) C1s、(g)O1s XPS光譜,以及(h)在250至1000℃的不同還原溫度下合成的OCG顆粒氧的原子百分比。 (i) 比較各種 OCG 催化劑的物理和化學結構的雷達圖。

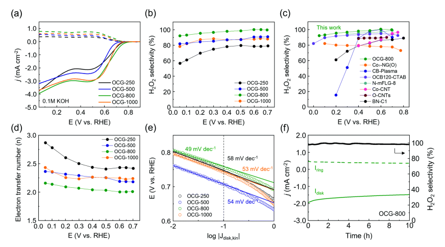
Figure 2. (a) 在 O
2 飽和的 0.1 M KOH 中 ,OCG 催化劑在 1600 rpm 和 10 mV s-1 速率下的 ORR 性能比較,實線代表圓盤電極的 ORR 電流密度,虛線代表在環形電極檢測到的 H
2O
2 電流密度。 (b) 計算的 OCG 催化劑的 H
2O
2 選擇性,(c) 比較先前報道的催化劑的選擇性和電位窗口,以及 (d) 計算的 OCG 催化劑的電子轉移數。 (e) OCG 催化劑的計算 Tafel 圖。 (f) OCG-800 在 0.65 V 與 RHE 在 O
2 飽和的 0.1 M KOH 中的計時電流穩定性測試。

Figure 3. (a) 在堿性介質中,OCG800 和之前報道的催化劑在 0.65 V RHE 條件下的質量活性比較,由催化劑的總質量歸一化。 (b) OCG-250、OCG-500、OCG-800 和 OCG-1000 催化劑在不同反應時間前后的 H
2O
2 產率,在 H 電池中采用 0.4 V vs. RHE 電解。 (c) OCG-800 在 0.4 V RHE 下通過計時電流測試連續運行后的穩定性。

Figure 4. 不同氧官能團的ORR活性和選擇性的DFT結果。 ( a )本研究中的不同氧官能團的模型系統。黑色和紅色圓圈分別表示 C-O-C 型和其他官能團的活性位點。灰色、紅色和白色球分別表示 C、O 和 H 原子。 (b) 不同氧官能團的 DGOOH* 和 DGH
2O
2*–DGO* 之間的比例關系。顏色條表示作為 DGOOH* 函數的過電位。封閉和開放的圓圈分別代表基礎和邊緣模型系統。灰色虛線表示 O
2/H
2O
2 反應的最佳 DGOOH*。 ( c )藍色圓圈顯示改編自參考文獻的 PtHg
4 的結果。計算 OOH* 和 O* 在 C-O-C 基底上的電荷密度差。(等值面水平:0.03 e Å
-3)。
相關研究工作由佐治亞理工學院Seung Woo Lee,Marta C. Hatzell和韓國能源研究院Joonhee Kang課題組于2022年在線發表于《Energy & Environmental Science》 期刊上,原文:Structure-controlled graphene electrocatalysts for high-performance H
2O
2 production。
轉自《石墨烯研究》公眾號