金屬氧化物對石墨烯的粘附對于石墨烯納米電子和自旋電子界面具有根本意義。 氧化鈦和氧化鋁是此類器件中兩種廣泛使用的隧道勢壘,它們提供最佳的界面電阻和控制傳輸參數和器件性能的不同界面條件。 在這里,我們通過電傳輸測量和拉曼光譜和光電子光譜,結合這些界面的從頭算電子結構計算,揭示了這些金屬氧化物如何與石墨烯界面的根本差異。 雖然兩個氧化物層都會導致石墨烯中的表面電荷轉移誘導 p 型摻雜,但與 TiO
x 形成鮮明對比的是,AlO
x/石墨烯界面顯示出明顯的 sp
3 缺陷的存在。 電子結構計算表明,由于界面處的 C 和 O 原子之間形成的 sp
3 鍵的組合以及氧化鋁層可能存在的略微偏離化學計量的缺陷,會發生顯著的 p 型摻雜。 此外,AlO
x/石墨烯界面處的 sp
3雜化導致不飽和鍵的不同磁矩,這不僅解釋了在 AlO
x 勢壘石墨烯自旋電子器件中廣泛觀察到的低自旋壽命,而且還為新的混合電阻開關和自旋閥提供了可能性.

圖 1. 石墨烯場效應器件在 Al/Ti 沉積和氧化前后的實驗方案。

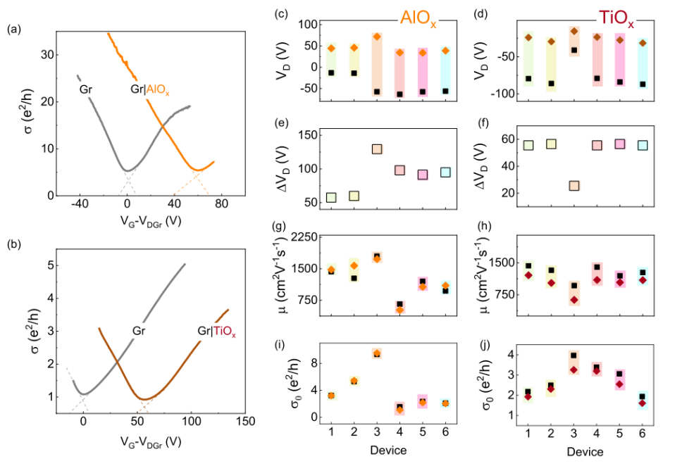
圖 2. 具有 AlO
x 和 TiO
x 層的石墨烯器件的電特性修改。 與柵極相關的電導率(以電導量子 e
2/h 為單位)與柵極電壓 (VG) 的關系。 具有石墨烯的器件在(a)AlO
x 和(b)TiO
x 沉積之前(灰色曲線)和之后(橙色/棕色曲線)的狄拉克曲線。 此處提供的虛線用于指導 Dirac 點展寬。 (c-j) Dirac 點位置 (VD) 及其位移 (ΔVD)、場效應電子遷移率 (μ)、原始石墨烯 (黑色正方形) 的最小電導率和 AlO
x 和 TiO
x 沉積的總結。

圖 3. XPS 表征。(a) 原始石墨烯(深棕色)、沉積 TiOx(棕色)和 AlOx(橙色)的石墨烯的概覽光譜,以及 (b) 用于最小二乘擬合的 C 1s 成分。 所有光譜均使用單色 Al K
α 源獲得。 結合能使用 SiO
2 中 103.3 eV 的 Si 2p 峰和 284.4 eV 的碳 sp
2 峰校準。

圖 4. (a) 原始石墨烯和具有沉積的 TiO
x和AlO
x的石墨烯的拉曼光譜,插圖顯示 G 和 2D 波段的變化。(b) 代表性石墨烯 (Gr)和石墨烯在 TiO
x(Gr + TiO
x) 和 AlO
x(Gr + AlO
x) 沉積在其頂部后的 AFM 圖像。相應的灰線掃描顯示粗糙度輪廓,Rq 表示平均區域粗糙度。
圖5. 模擬系統的幾何形狀(上面板)。原子 Al、O 和 C 分別用綠色、灰色和橙色表示。 黃色的云是晶體的原子投影磁矩密度。下圖顯示了(a)在石墨烯單層結構(C
8-Al
12O
17)上略微偏離化學計量的氧化鋁的投影能帶結構:費米能級相對于狄拉克點向下移動,晶胞磁矩約為 0.44 μB。(b)完美的化學計量比(C
8-Al
12O
18)產生部分 sp
3 鍵合的石墨烯,導致局部帶隙開口和磁矩(0.61 μB/晶胞)。(c)具有 sp
3 鍵合 C
8-Al
11O
18 的石墨烯的電子結構,其中晶胞磁矩為 1μB。來自Al的s和p帶穿過狄拉克錐和費米能級(灰色帶)是由于復合材料最頂部表面的懸空鍵。
相關研究成果由烏普薩拉大學M. Venkata Kamalakar等人2022年發表在ACS Applied Materials & Interfaces (https://doi.org/10.1021/acsami.2c06626)上。原文:Insights and Implications of Intricate Surface Charge Transfer and sp3-Defects in Graphene/Metal Oxide Interfaces。
轉自《石墨烯研究》公眾號