與硅基互補金屬氧化物半導體 (CMOS) 工藝兼容的高靈敏度短波紅外 (SWIR) 探測器被認為是微弱信號探測系統中的關鍵使能元件。 迄今為止,高光增益器件受到大偏置電壓、低溫制冷、窄響應帶和復雜制造工藝的極大限制。 在這里,我們展示了在室溫下在 SWIR 區域工作的高光增益探測器,該探測器使用石墨烯進行電荷傳輸,使用 Te 超摻雜硅 (Te-Si) 進行紅外吸收。 載流子壽命的延長,加上石墨烯和 Te-Si 之間界面產生的內建電勢,在室溫(300 K)下對于 1.55 μm 光具有 10
9 的超高光增益。 增益可以提高到 10
12,伴隨著 0.71 pW Hz
-1/2在 80 K 的噪聲等效功率 (NEP)。此外,所提出的器件在 300 K 的波長處表現出 4.36 pW Hz
-1/2 的 NEP 2.7 μm,超出了 InGaAs 探測器的工作區域。 該研究表明,石墨烯可以作為硅基SWIR檢測的有效平臺,并為兼容CMOS工藝的低功耗、非制冷、高增益紅外探測器提供了策略。

圖 1. 裝置原理圖、工作原理和性能。 (a) 石墨烯/Te-Si 混合光電探測器的示意圖。 (b) 中帶 Si 中子帶隙載流子激發的原理。 (c) Te-Si 和石墨烯/Te-Si 混合器件的工作機制示意圖。 (d,e)混合光電探測器在波長分別為 1.55 和 2.7 μm 時具有不同摻雜水平的時間相關光響應。(f)1.55和2.7μm(插圖)紅外光的響應度和光功率之間的關系。

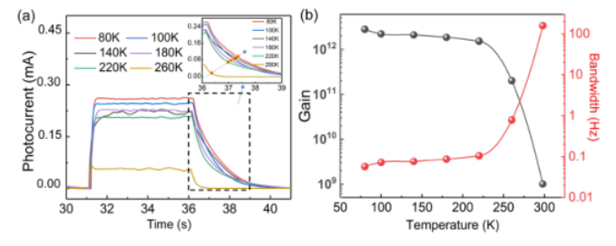
圖 2. 低溫混合器件的特性。(a) 混合光電探測器在 1.55 μm 光照射下不同溫度下的光響應。 光功率為 60 mW。(b)作為溫度函數的光增益(黑色)和帶寬(紅色)。

圖 3. 接觸電位與載流子濃度的關系。 (a, b) N = 1 × 10
20cm
-3 和 N = 1 × 10
17cm
-3 的硅-石墨烯結的能帶圖。 (c) 耗盡區的寬度作為硅摻雜濃度的函數。 (d) 模擬的接觸勢壘 (ψs) 作為石墨烯載流子濃度 (n
0) 和硅載流子濃度 (N) 的函數。(e-g)模擬不同摻雜濃度的硅異質結中的內建電場分布。

圖 4. 內置電位對光增益的影響。 (a) 柵極調制石墨烯/Te-Si 結的器件配置。 源極和漏極連接到石墨烯溝道的末端,柵極接觸Te-Si。(b, c) 石墨烯/Te-Si 結的能帶圖,分別在沒有和有反向偏壓的情況下。 (d, e) 不同柵極偏壓下 1.55 和 2.7 μm 光的時間相關光響應。 (f) 光響應性與柵極電壓的關系。

圖5 性能比較。 (a) 石墨烯/Te-Si 混合光電探測器和 Te-Si 器件的噪聲功率譜密度比較。 偏置電壓為 1 V。(b)混合和 Te-Si 光電探測器在不同偏置電壓下的噪聲電壓。 (c) NEP 和 (d) 在這項工作中獲得的響應度與文獻中的相關設備進行了比較。
相關研究成果由中國電子科技大學Jiuxun Sun和中國科學院重慶綠色智能技術研究所Haofei Shi、Xingzhan Wei等人2022年發表在ACS Nano (https://doi.org/10.1021/acsnano.2c04704)上。原文:Ultrahigh Photogain Short-Wave Infrared Detectors Enabled by Integrating Graphene and Hyperdoped Silicon。
轉自《石墨烯研究》公眾號