蓬勃發展的便攜式電子產品市場對開發具有機械柔性和有限區域高功率密度的超級電容器提出了巨大的需求; 然而,目前受厚度限制的夾層設計或機械特性有限的平面內叉指配置仍然不能滿足這一要求。 在這里,首先設計和構建了空間交錯超級電容器(SI-SC),其中石墨烯微電極在三維(3D)空間內逐層反向堆疊。 由于每個微電極與四個反微電極匹配良好,并且所有 3D 空間交錯微電極都具有狹窄的間隙,從而保持整個器件中的有效離子傳輸,因此該 SI-SC 具有顯著的線性電容隨著器件厚度的增加而增加。 因此,在 100 μm 厚的器件上實現了 36.46 mF cm
-2 的高比面積電容和 5.34 μWh cm
-2 的能量密度。 特別是每一層的微電極相互交叉,保證了SI-SC出色的機械柔韌性,在10
4次彎曲試驗后性能保持率約為98.7%,實現了高面積能量密度和有限區域內機械柔韌性的完美結合。 此外,SI-SC 單元可以輕松集成到可穿戴電子設備中,為手表、發光二極管 (LED)、計算器等提供實際應用。

圖 1. 夾層、平面內叉指型超級電容器與空間交錯 SI-SC 的架構比較。 三明治和平面型超級電容器的示意圖。 (a) 電極的厚度從 H 增加到 H'。 增加三明治型超級電容器的質量負載可能會延長電極中的離子傳輸路徑。 (b) 對于平面型超級電容器,加厚電極會導致犧牲其機械柔韌性。 (c) 顯示了 SI-SC 的示意圖和橫截面結構。 SI-SC 中的每個微電極都與四個帶相反電荷的微電極相鄰,以實現高面積能量密度和機械靈活性。

圖 2. SI-SC 的制造和表征。 (a) SI-SC 的示意圖制造過程。 通過 GO 涂層(步驟 1)、直接激光寫入(步驟 2)、電解質噴涂(步驟 3)和重復操作(步驟 4)制造 SI-SC。 集電器通過高功率激光擊穿完全導通(步驟 5)。 (b) SI-SC 的頂視圖 SEM 圖像。 (c) SI-SC 設備的數碼照片。 SI-SC 的橫截面 (d) 和橫截面 (e) SEM 圖像的放大圖。 GO和激光誘導的rGO的EDS(f)和高分辨率C 1s XPS(g)光譜。

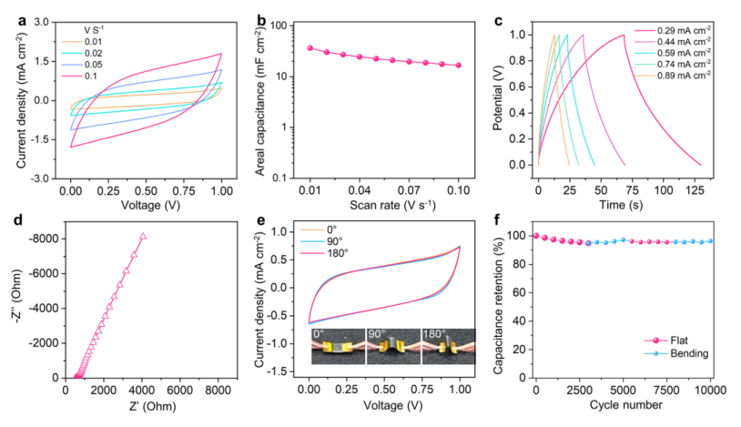
圖 3. SI-SC
10 的電化學性能。SI-SC
10(a)在不同掃描速率下的 CV 曲線和(b)作為掃描速率函數的相應面積電容。(c) SI-SC
10在不同電流密度下的恒電流充放電曲線。 (d) SI-SC
10 的奈奎斯特圖。(e) SC-MS
10在不同彎曲狀態下的CV曲線。 (插圖)數碼照片顯示了 SI-SC
10 的靈活性。(f) SC-MS
10在不同彎曲條件下的循環穩定性。

圖 4. 不同架構的 SI-SC 的電化學性能。 掃描速率為 0.02 V s
-1(a) 的 CV 曲線和 SI-SC 的相應面積電容 (b) 與層數的關系。 (c) SI-SC
10 和 SI-SC1 在 0.29 mA cm
-2 電流密度下的恒電流充電/放電曲線。(d) 將 SI-SC
10 的器件厚度、面電容和面能量密度與最近的基于石墨烯的超級電容器進行比較。(e) 反向堆疊 SI-SC 和對稱堆疊器件的圖示。具有反向或對稱堆疊結構的器件的負離子 (Cl
-) 濃度等值線圖。(f) 具有反向或對稱堆疊結構的器件表面離子濃度的比較。(g) 具有反向或對稱堆疊結構的器件的電化學阻抗譜。(h) 三層反向或對稱堆疊器件的恒電流充電/放電曲線。

圖 5. SC-MS
10 的應用。 (a) 串聯和并聯的 SI-SC
10 單元的 CV 曲線。 計算器 (b)、LED (c) 和計時碼表 (d) 等商業電子產品由三個串聯的 SC-MS
10 供電。(e) 由連接到腕帶的兩個 SC-MS
10 供電的手表的照片。
相關研究成果由清華大學Huhu Cheng、Liangti Qu和北京科技大學Yan Li等人2022年發表在ACS Nano (https://doi.org/10.1021/acsnano.2c04989)上。原文:Spatial-Interleaving Graphene Supercapacitor with High Area Energy Density and Mechanical Flexibility。
轉自《石墨烯研究》公眾號