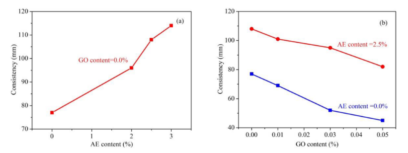
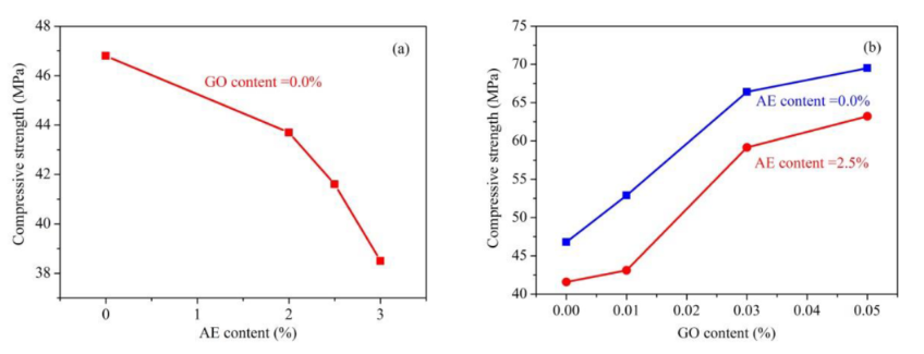
引氣劑(AE)能提高水泥材料的抗凍性。但其發泡性能會顯著降低抗壓強度。為了在不影響力學性能的前提下提高凍融耐久性,本研究在室內進行了在帶氣砂漿中添加氧化石墨烯(GO)的實驗,并在此基礎上通過微觀結構和數值分析探討其機理。試驗結果表明,0.03 wt%的GO(最佳摻量)可使摻氣砂漿的抗凍性和抗壓強度分別提高18.9%和41.9%。從微觀試驗可以看出,AE和GO都能降低砂漿的間距系數,而在砂漿中加入AE和GO對孔隙率的影響趨勢相反。為了預測凍融過程的惡化,首先提出了考慮氧化石墨烯對凍融過程中水輸運和成核規律影響的熱-水-力學模型。結果表明,水流和自壓縮均可闡明凍融損傷機理。通過對實驗數據的驗證,證明所建立的模型能夠較好地模擬加氣砂漿的凍結劣化過程,尤其是片狀納米添加劑的情況。數值結果表明,在忽略納米分散性的前提下,隨著氧化石墨烯含量的增加,其抗凍性會不斷提高,因此隨著分散性技術的發展,其抗凍性會得到顯著提高。

圖1.氧化石墨烯分散體的穩定性(從左至右對應樣品為UV-0 ~ UV-9)。

圖2. GO分散體的UV-Vis光譜。

圖3. AE和GO含量對砂漿稠度的影響。

圖4. AE和GO含量對抗壓強度的影響。

圖5. 150次循環后不同樣品的降解:(a) M00;(b) MGO-2;(c) MAE-2;(d) MAG-2。

圖6. 質量損失隨凍融次數的變化。

圖7. GO-水泥砂漿抗壓強度隨凍融次數的變化。

圖8. 加氣砂漿抗壓強度與凍融次數的關系:(a)不含GO;(b)含GO。

圖9. 折減系數與凍融次數的關系。

圖10. 不同尺度凍/融條件下加氣混凝土的孔隙壓力。

圖11. (a)順序排列和(b)隨機排列的納米片示意圖。

圖12. 幾何模型。

圖13. 加氣砂漿孔徑分布的函數。

圖14. 耦合模型與實驗數據的驗證。

圖15. 溫度隨時間的變化。
.png)
圖16. MAG-2模型不同時刻溫度的變化。

圖17. 液壓隨時間的變化。

圖18. MAG-2模型不同時刻液壓的變化。

圖19. 應變隨時間的變化。
.png)
圖20. MAG-2模型不同時刻應變的變化。
相關研究成果由中國科學院西北生態環境資源研究院、凍土工程國家重點實驗室Hongyan Zeng等人于2022年發表在Construction and Building Materials (https://doi.org/10.1016/j.conbuildmat.2022.126708)上。原文:Exploring the effect of graphene oxide on freeze–thaw durability of air-entrained mortars。
轉自《石墨烯研究》公眾號