石墨烯作為一種二維(2D)材料,由于其固有的大比表面積和獨特的電學性能,在氣體傳感器領域表現出優異的優勢。但在氣體檢測的實際應用中,石墨烯片容易形成不可逆團聚,具有靈敏度低、響應時間長、恢復速度慢等局限性,大大降低了其氣體傳感性能。三維多孔石墨烯作為一種氣敏材料,因其比表面積大、結構穩定,近年來得到了廣泛的研究。為了合成具有不同三維結構的石墨烯,人們開發了許多方法。文章綜述了三維石墨烯及其復合材料的合成與組裝。強調了三維石墨烯及其復合材料在氣體傳感器領域的應用。簡述了三維石墨烯材料在氣體傳感器應用中面臨的挑戰和發展前景。

圖1. 氧化石墨烯薄膜吸附水蒸氣示意圖。水分子在氧化石墨烯膜上的吸附可分為兩個過程。第一層水分子通過兩個氫鍵附著在GO膜上。從第二層開始,水分子只通過一個氫鍵被吸附。

圖2. 不同形貌的三維石墨烯SEM圖像。(a)褶皺石墨烯。(b)石墨烯泡沫。(c)石墨烯氣凝膠。(d)石墨烯海綿。

圖3. 氧化石墨烯在水懸浮液還原過程中形成的石墨烯水凝膠自組裝示意圖及機理。

圖4. 模板輔助合成石墨烯泡沫(GF)和集成聚二甲基硅氧烷(PDMS)示意圖。使用鎳泡沫 (Ni泡沫,
a)作為三維支架模板,采用CVD法合成石墨烯薄膜(Ni-G,
b)。在涂上一層薄薄的PMMA作為支撐層(Ni-G-PMMA,
c)后,石墨烯薄膜逐漸生長。用熱鹽酸溶液刻蝕鎳泡沫后,在GF表面涂上PMMA (GF-PMMA,
d)。用丙酮溶解PMMA層(GF,
e)。將PDMS滲透到GF中得到GF/PDMS復合材料(
f)。

圖5. NH
3吸附濃度為1000×10
-6時的脫附過程,
a在室溫下脫氣,
b在高溫下脫氣,GF的電阻隨時間變化,其中b圖上方的顏色條反映溫度隨時間的變化;
c不同NH
3濃度的動態傳感性能,吸附溫度為室溫,解吸溫度為400 K;
d不同NO
2濃度的動態傳感性能。

圖6.
a MPCVD法制備的GF原理示意圖;
b基于微波爐的自制MPCVD裝置,在微波爐內等離子體清晰可見;
c-e 在鎳泡沫上生長的石墨烯的SEM圖像,一個連續的三維相互連接的花朵形態網絡,其中鎳泡沫襯底的壁上覆蓋著石墨烯;
f脫落石墨烯片的TEM圖像,褶皺層狀結構。

圖7. NO
2傳感性能:
a 不同曝光時間300-1800 s時對10×10
-6 NO
2的響應;
b 10×10
-6 NO
2檢測中傳感器響應與曝光時間關系的曲線;
c連續三個100×10
-9 NO
2檢測周期中相對電導與時間的關系;
d在圖
c中連續三個NO
2檢測周期的定量響應;
e對200×10
-9 NO
2的響應;f在100×10
-9 NO
2檢測中的恢復時間
t90

圖8.
a 選擇性NO
2傳感的3D超疏水RGO制造步驟。第一步,通過SPS用氧化石墨烯制備3D超疏水RGO,然后沉積在數字間電極上進行NO
2傳感。RGO的超疏水性排斥水分子,吸收NO
2分子。RGO傳感器由位于Si/SiO
2襯底上的集成微加熱器加熱,以提高響應。
b-d RGO的三維多孔結構SEM圖像,放大倍數從圖
b增加到圖
d。圖
d的高分辨率SEM圖像顯示,RGO薄片上存在許多納米級裂紋。
e少層RGO片的TEM圖像。
f三維超疏水RGO的氮吸附和脫附等溫線。

圖9.
a GO-基傳感器對1×10
-6 NO
2和70%RH的動態響應,
b RGO-基傳感器對1×10
-6 NO
2和70%RH的動態響應,
c RGO-基傳感器對1×10
-6 NO
2在0%RH和 70%RH時的動態響應;
d RGO測定50×10
-9 NO
2;
e 檢測600×10
-9 NO
2的響應時間
t90、恢復時間
t90和飽和響應;
f RGO-基傳感器對1×10
-6 NO
2的動態響應。

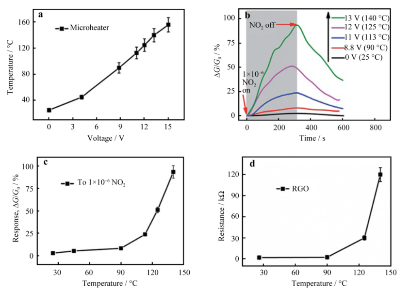
圖10. 使用微型加熱器增強NO
2傳感:
a 基片溫度與微型加熱器DC電壓的關系;
b 在標準相對濕度為70%,不同溫度時,RGO-基傳感器對1×10
-6 NO
2的動態響應;
c RGO-基傳感器暴露于1×10
-6 NO
2時的響應與襯底溫度的關系;
d RGO-基傳感器的電阻與襯底溫度的關系。

圖11.
a三維RGO/Ir HSs合成示意圖; 三維RGO/Ir HSs的
b XRD譜圖,
c SEM譜圖,
d TEM譜圖,
e能譜圖(EDS)和
f EDS線掃描譜圖。

圖12.
a 0.7 V時,將三維RGO/Ir HSs和商業Ir/C連續加入 20 μl 0.15 mol·L
-1NH
4OH 到20 ml 0.4 mol·L
-1 NaCIO
4溶液中;
b電化學反應隨NH
4OH濃度變化;
c三維RGO/Ir HSs氣敏機理示意圖,揭示了電流型氨傳感器的反應路徑。

圖13.
a具有強大嗅覺系統的生物犬,
b犬鼻甲CT掃描圖像和
c示意圖;
d仿生鼻甲激光誘導石墨烯(LIG)結構表面微觀形貌的SEM圖像及其
e橫斷面圖像。

圖14. H
2傳感圖:
a多層LIG,
b LIG/Pd,
c H
2分子吸附在LIG/Pd上;
d干空氣中LIG/Pd的截面示意圖;
e H
2在LIG/Pd上的催化反應;
f較高濃度時H
2的反應;
g LIG的能帶分析,其中
Ef為費米能,
Ec為導能,
Ev為價能;
h氫氣作用于LIG的能帶分析。

圖15. 二氧化碳傳感:
a FRGOH傳感器和RGOH傳感器暴露在濃度為1000×10
-6到100×10
-6的CO
2中,比較歸一化電阻變化(
R/R0);
b響應(Δ
R/R0)和
c FRGOH和RGOH傳感器的恢復與CO
2濃度的關系;
d 隨著CO
2濃度的單調增加,從20×10
-6到600×10
-6,FRGOH傳感器的歸一化電阻(
R/R0);
e 電阻分別為37,000和10,000 W的FRGOH傳感器暴露于不同CO
2濃度時的時間相關歸一化電阻(
R/R0)曲線;
f 具有不同電阻的兩個FRGOH傳感器的響應(Δ
R/R0)與CO
2濃度的關系。

圖16.
a靜電紡聚丙烯腈(PAN)納米纖維骨架(插圖:高分辨率SEM圖像),
b磺苯基功能化還原氧化石墨烯(SFRGO)纏繞在PAN納米纖維骨架上(插圖:高分辨率SEM圖像);在
c尼龍支架和
d柔性SFRGO網絡膜上靜電紡PAN納米纖維的照片。

圖17. SFRGO網絡膜器件對不同濃度NO
2 (10×10
-9到20×10
-6)的傳感性能:
a 10×10
-9-100×10
-9,
b 0.1×10
-6—1.0×10
-6,和
c 1×10
-6—20×10
-6;
d SFRGO網絡對10×10
-6 NO
2、25×10
-6甲醇、25×10
-6乙醇、25×10
-6異丙醇、25×10
-6氯和50%相對濕度的氣敏選擇性。

圖18.
a室溫(RT)下3D RGO/In
2O
3納米復合傳感器對100×10
-6 TMA三重循環的響應與恢復曲線;
b In
2O
3、3D RGO和3D RGO/In
2O
3納米復合材料對200×10
-6-1500×10
-6TMA的響應;
c 三維RGO/In
2O
3納米復合氣敏機理示意圖。

圖19.
a GA、
b GA/PANI和GA/PPy IPC的制備示意圖。

圖20. 25℃時,GA/PANI IPC暴露于流速為200 ml·min
-1的CO
2氣體中的
a 電導率變化和
b 響應時間;
c相對濕度對GA/PANI IPC材料導電性的影響和
d GA/PANI IPC材料在50℃60 min時 CO
2暴露至120 min后的回收率。
相關研究成果由重慶大學材料科學與工程學院Wen Zeng等人于2022年發表在RARE METALS (https://doi.org/10.1007/s12598-020-01633-9)上。原文:Three-dimensional graphene and its composite for gas sensors。
轉自《石墨烯研究》公眾號