氧化石墨烯(GO)納米片作為一種多功能納米填料,可以在混合基質膜(MMMs)中形成二維通道,但由于缺乏適當的化學官能團,限制了氧化石墨烯納米片的靈活操作。在本研究中,我們選擇氨基酸(精氨酸、組氨酸和半胱氨酸)直接交聯改性氧化石墨烯納米片,氨基酸在氧化石墨烯納米片上的負載量大于20%。然后將改性的氧化石墨烯納米片填充到Pebax基體中制備MMMs。比較了不同納米填料對MMMs的CO
2分離性能,發現不同氨基酸修飾的氧化石墨烯納米片對CO
2的溶解機制的強化程度依次為精氨酸@GO > 組氨酸@GO >半胱氨酸@GO。通過密度泛函理論(DFT)計算,進一步闡明了氣體分子與氨基酸之間的相互作用機理。在干燥狀態下,CO
2與胺基之間的絡合能(Ec)與氨基酸中CO
2與羧基之間的絡合能相似。特別是,0.4 wt% arg@GO納米片制備的膜具有169 Barrer的CO
2滲透性和70的CO
2/N
2選擇性,并超過了2008年的上限。氨基酸改性氧化石墨烯納米片為探索二氧化碳在MMMs內的轉移機制和制備高性能分離膜提供了新的途徑。

圖1. 納米片在乙醇/水中的TEM圖像(a) GO納米片,(b) arg@GO納米片,(c) his@GO納米片和(d) cys@GO納米片。

圖2. GO, arg@GO, his@GO, cys@GO的特性:(a) XRD曲線,(b) FT-IR光譜,(c) GO中C (1 s)的XPS曲線,(d) arg@GO中C (1 s)的XPS曲線,(e)填料的XPS曲線,(f)填料的TGA曲線。

圖3. 膜截面的FESEM圖像(a) Pebax, (b) GO/Pebax(0.4), (c) arg@GO/Pebax (0.4), (d) his@GO/Pebax (0.4), (e) cys@GO/Pebax (0.4),(f) arg@GO/ Pebax(1.0)。

圖4. (a)薄膜的FT-IR光譜(b) XRD譜圖。

圖5. 填料含量對膜氣體分離性能的影響(a) CO
2滲透性(b) CO
2/N
2選擇性(在1 bar, 25℃時測試)(c) CO
2溶解系數(10
-1 cm
3 (STP) cm
3cmHg
-1) (d) CO
2擴散系數(10 cm
2 s
-1)。

圖6. 填料對MMMs氣體溶解和擴散系數的影響(在1 bar, 25℃下測試)。

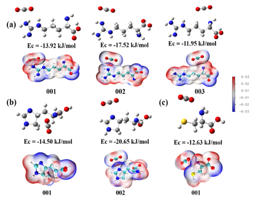
圖7. 分子靜電勢映射在氨基酸和分子式(a)精氨酸(b)組氨酸(c)半胱氨酸上。
圖8. 分子靜電勢映射在精氨酸和CO
2絡合物絡合能的001,002,003位點上(a)精氨酸(b)組氨酸(c)半胱氨酸。

圖9. 壓力對MMMs氣體分離性能的影響(a) CO
2滲透率(b) CO
2/N
2選擇性(c) CO
2/CH
4選擇性(在25℃下測試)和(d)本工作CO
2/N
2分離性能與其他工作的比較。
相關研究成果由天津大學化工學院Zhongyi Jiang等人于2022年發表在Separation and Purification Technology (https://doi.org/10.1016/j.seppur.2022.120682)上。原文:Incorporating amino acids functionalized graphene oxide nanosheets into Pebax membranes for CO
2 separation。
轉自《石墨烯研究》公眾號