隨著可穿戴電子設備需求的增加,多功能智能面料的開發成為必然趨勢。然而,如何制作出具有滿意的機械性能、優異的焦耳熱性能、高效的光熱轉換、出色的電磁屏蔽效果和優越的抗菌能力的多功能智能面料仍然是目前面臨的挑戰。在這里,一種基于MoSe
2@MXene異質結構的多功能纖維素織物是通過將MXene納米片沉積到纖維素織物上,然后通過簡單的水熱法在MXene層上生長MoSe
2納米片來制備的。實現了一個低電壓焦耳加熱治療平臺,具有快速的焦耳加熱響應(在4 V的供電電壓下,25 s內達到230°C)和在反復彎曲循環(高達1000個循環)下的穩定性能。此外,該多功能織物還表現出優異的光熱性能(在400 mW cm
−2的光強度下,輻照25 s可達130°C)、優異的電磁干擾屏蔽效果(37 dB)和優異的抗菌性能(對大腸桿菌、枯草芽孢桿菌和金黃色葡萄球菌的抗菌率達90%)。本研究為制造多功能可穿戴熱療設備提供了一種有效的途徑,用于移動醫療和個人熱管理。

圖1 MoSe
2@MXene/CFs的制作原理圖。

圖2. MoSe
2@MXene/CFs催化劑的XRD 和形貌表征。

圖3 a) MoSe2@MXene/CFs的XPS譜。b) Ti 2p, c) O 1s, d) Mo 3d, e) Se 3d, f) c 1s的XPS高分辨率光譜。

圖4. MXene/CFs和MoSe2@MXene/CFs的焦耳加熱性能。

圖5 a) N2H4在不同電壓下的焦耳熱性能。b) N2H4的溫度變化使MXene/CFs隨功率輸入的增加/減少而降低。c) N2H4的循環焦耳熱性能在3 V時降低了MXene/CFs。d) MXene/CFs和MoSe2@MXene/CFs的相對電阻。e) MXene/CFs和MoSe2@MXene/CFs的平均TCR。f) MXene/CFs和MoSe2@MXene/CFs的熱發射率。

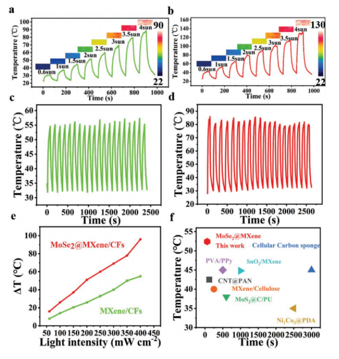
圖6 光熱轉換性能。

圖7 MXene/CFs和MoSe2@MXene/CFs的EMI性能。

圖8 抗菌能力測試。

圖9 通過可見光光催化ROS生成水中的MoSe
2@MXene異質結構滅活細菌的原理圖。
相關科研成果由香港中文大學科學與工程學院Qingbin Zheng等人于2022年發表在Small (10.1002/smll.202205853)上。原文:Doped-nitrogen enhanced the performance of Nb
2CT
x on the electrocatalytic synthesis of H
2O
2。
轉自《石墨烯研究》公眾號