盡管大量研究證實添加石墨烯可以改善聚合物復合材料的阻尼性能,但迄今為止,一些關鍵問題,包括石墨烯的聚集和表面摩擦力,仍未得到改善。在這項研究中,設計和制備了受自然啟發的三明治復合材料用于振動抑制,同時還制備了傳統的共混復合材料和純環氧樹脂試樣作為參考。動態力學分析和振動測試結果證實,夾層復合材料的阻尼性能優于共混復合材料和純環氧樹脂,其中純環氧樹脂的損耗因子為 0.067,而傳統共混和夾層復合材料的質量分數為0.75 wt‰,分別增加到0.067和0.0942。然后提出了競爭行為的能量耗散機制來解釋夾層復合材料的鐘形阻尼隨芯層厚度的增加而變化。此外,聚多巴胺(PDA)用于修飾還原氧化石墨烯(rGO)以增大表面摩擦力,從而提高了rGO的阻尼增強能力。具體而言,質量分數為0.5 wt‰的PDA改性rGO增強復合材料的阻尼比比相同質量分數的rGO增強復合材料高42.2%。rGO的改性和三明治復合材料的成功制備為振動能量耗散和阻尼增強提供了一種新的策略。

Fig 1. PDA-rGO 制備示意圖。

Fig 2. 具有 PDA-rGO/rGO 芯層的夾層復合材料的制備過程。

Fig 3. rGO 和 PDA-rGO 增強共混復合材料的制備過程。

Fig 4. 振動測試設置。

Fig5. (a) rGO 和 (b) PDA-rGO 的 SEM 圖像。

Fig 6. (a) rGO 和 (b) PDA-rGO 的AFM圖像以及 (c) 1-2 行和(d) 3-4行的相應高度。

Fig 7. 具有 (a) 0.25 wt‰ PDA-rGO 核、(d) 0.5 wt‰ PDA-rGO 核、(f) 0.75 wt‰ PDA-rGO 核和 (g) 1 wt‰ PDA-rGO 核的夾層復合材料的斷裂表面 SEM 圖像SEM 圖像中相應的紅色和黃色框區域的核心和放大視圖 (b)、(c)、(e)、(h)、(i)。

Fig 8. 具有 (a) 無芯層、(b) 0.25 wt‰ rGO 芯、(c) 1 wt‰ rGO 芯、(e) 0.5 wt‰ rGO 芯和 (h) 0.75 wt‰ rGO 芯的夾層復合材料的斷裂表面 SEM 圖像和放大圖 (d)、(f)、(g)、(i) SEM 圖像中相應的紅色和黃色框區域。

Fig 9. (a) 0.25 wt‰ 和 (b) 0.5 wt‰ 的 rGO 核心層以及 (c) 0.25 wt‰ 和 (d) 0.5 wt‰ 的 PDA-rGO 核心層的數碼照片。

Fig 10. 質量分數為(a) 0.5 wt‰、(d) 1 wt‰的PDA-rGO-mixed-EP、質量分數為(g) 0.5 wt‰的rGO-mixed-EP、( j)1 wt‰和(a)的放大圖(b-c),(d)的(e-f),(g)的(h-i),(j)的(k-l)。

Fig 11. PDA-rGO 和 rGO 的拉曼光譜。

Fig 12. 損耗因子隨 (a) PDA-rGO-mixed-EP、(b) rGO-mixed-EP、(c) PDA-rGO-cored-EP 和 (d) rGO-cored-EP 在室溫下的頻率變化。

Fig 13. (a) PDA-rGO-mixed-EP、(b) rGO-mixed-EP、(c) PDA-rGO-cored-EP 和 (d) rGO-cored-EP 在 1Hz 時損耗因子隨溫度的變化。

Fig 14. (a) PDA-rGO-cored-EP、(b) rGO-cored-EP、(c) PDA-rGO-mixed-EP 和(d) rGO-mixed-EP 的損耗模量隨溫度在 1Hz 下的變化。

Fig 15. 儲能模量隨 (a) PDA-rGO-cored-EP、(b) rGO-cored-EP、(c) PDA-rGO-mixed-EP 和 (d) rGO-mixed-EP 在 1 Hz 時的溫度變化.

Fig 16. (a) PDA-rGO-mixed-EP 和 (b) rGO-mixed-EP 的 Cole-Cole 圖。

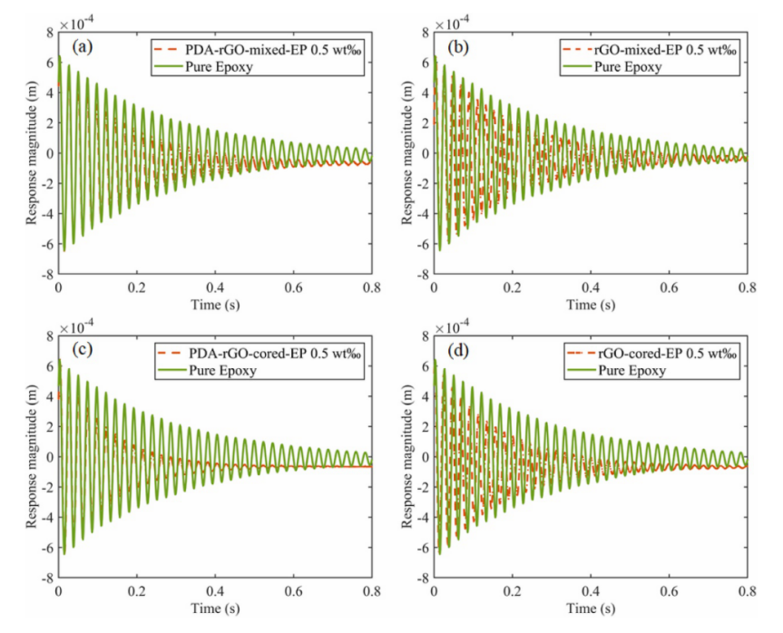
Fig 17. 環氧樹脂與質量分數為 0.5 wt‰ 的復合材料的振動衰減曲線比較:(a) PDA-rGO-mixed-EP,(b) rGO-mixed-EP,(c) PDA-rGO-cored-EP 和 ( d) rGO-cored-EP。

Fig 18. 質量分數為 0.5 wt‰ 的復合材料的振動衰減曲線比較:(a) PDA-rGO-mixed-EP 與 vs.rGO-mixed-EP,(b) PDA-rGO-cored-EP vs. rGO-cored- EP,(c) PDA-rGO-cored-EP 與 PDA-rGO-mixed-EP 和 (d) rGO-cored-EP 與 rGO-mixed-EP。

Fig 19. (a) 夾層復合材料和(b)傳統混合復合材料的阻尼比。

Fig 20. PDA-rGO和rGO的比表面積。

Fig21. (a) rGO 和 (b) PDA-rGO 的橫向力模式下的 AFM 圖像。

Fig 22. 表面摩擦力源自線 1(rGO)和線 2(PDA-rGO)。

Fig 23. (a-b) 低質量分數和 (c-d) 高質量分數的夾層復合材料的層間和層內滑移示意圖。
相關研究工作由清華大學Fulei Chu課題組于2023年在線發表在《Composites Science and Technology》期刊上,原文:Nature-inspired energy dissipation sandwich composites reinforced with high-friction graphene。
轉自《石墨烯研究》公眾號