在本研究中,本研究使用非平衡分子動力學(NEMD)模擬來研究油在表面功能化石墨烯通道中的壓力驅動流動。本研究發現,通過將水引入通道,可以提高輸油速度。進一步的研究揭示了水-油系統傳輸速度增加的兩種可能的不同機制:一方面,水膜在驅動力下在油和石墨烯基底之間形成,這阻止了石墨烯層和油分子之間的顯著分子間相互作用;另一方面,液體混合物的表觀粘度通過在通道中引入水而降低,這提高了運輸效率。對具有不同官能團的表面和具有不同極性的油的進一步比較分析證明了這種水誘導的油的流動傳輸增強的普遍性。該結果可用于優化現有的采油裝置以提高石油運輸效率。

圖1. 仿真模型(以-COOH功能化的通道為例)。本研究模擬了兩種不同的油:極化甲基辛基二硫化物(C
9H
20S
2)和非極化壬烷(C
9H
20)。研究了石墨烯表面上的三種不同官能團:-COOH、-OH和-NH
2。

圖2:(a) -COOH功能化石墨烯納米通道的平衡系統快照(暗區代表油分子,亮區代表水分子);(b) 河道中水和油的靜態密度分布。

圖3. 在不同驅動力下,-COOH官能化石墨烯通道中水和極化油分子的密度分布:(a)F=1×10
–4 kcal/mol·Å;(b) F=5×10
–4 kcal/mol·Å;(c) F=1×10
–3 kcal/mol·Å;(d)F=2×10
–3 kcal/mol·Å。(e,f)施加f=2×10
–3 kcal/mol·Å驅動力前后的流體狀態。如圖(f)所示,油和通道壁之間形成了兩個明顯且穩定的水膜。

圖4. 在不同驅動力下,-COOH功能化通道中油的速度和密度分布:(a)F=1×10
–4 kcal/mol·Å;(b) F=5×10
–4 kcal/mol·Å;(c) F=1×10
–3 kcal/mol·Å;(d) F=2×10
–3 kcal/mol·Å。在恒定密度范圍內,油的速度可以擬合為拋物線關系,以計算表觀粘度。

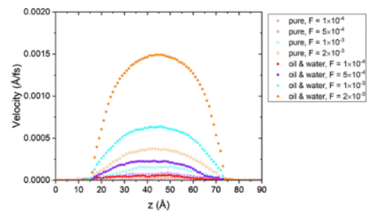
圖5.在-COOH功能化通道中,純極化油和油水系統的速度比較。開放符號表示純油的速度,填充符號表示油與水的傳輸速度。

圖6.(a) 不同寬度的三個不同通道之間的比較。(b)三個通道中的油的速度分布。

圖7.(a)-OH通道和(b)-NH
2通道中純極化油和油水系統的速度比較。

圖8. 適用于不同驅動力下的油速:(a)F=2×10
–3 kcal/mol·Å和(b)F=1×10
–2 kcal/mol•Å。通過中心速度和所有速度擬合,可以觀察到中心粘度和表觀粘度之間的明顯差異。此外,在大的驅動力下,-OH官能化通道顯示出優異的油傳輸性能,而在相對較低的驅動力之下,油傳輸速度仍然與通道壁的親水性一致。

圖9. 不同驅動力下-NH
2通道中的密度分布:(a)F=1×10
–4 kcal/mol·Å;(b) F=5×10
–4 kcal/mol·Å;(c) F=1×10
–3 kcal/mol·Å;(d) F=2×10
–3 kcal/mol·Å。

圖10.在不同驅動力下,-COOH官能化通道中水和非極化油分子的密度分布:(a)F=1×10
–4 kcal/mol·Å;(b) F=5×10
–4 kcal/mol·Å;(c) F=1×10
–3 kcal/mol·Å;(d) F=2×10
–3 kcal/mol·Å。

圖11.(a) -COOH功能化石墨烯通道中純油和水-油系統的速度分布。這里的油是非極性壬烷。(b) F=2×10
–3 kcal/mol·Å下的流動條件快照。水分子已經進入通道的中心區域,并形成了與油一起流動的水團。

圖12. 純油和油-水在(a)-OH通道和(b)-NH
2官能化通道中的速度分布。這里的油是非極性壬烷。
相關研究成果由德克薩斯大學Guoping Xiong和圣母大學Tengfei Luo等人2023年發表在The Journal of Physical Chemistry C (https://doi.org/10.1021/acs.jpcc.2c07081)上。原文:Molecular-Level Understanding of the Effect of Water on Oil Transport in Graphene Nanochannels。
轉自《石墨烯研究》公眾號