氧化石墨烯(GO)作為防腐涂料的填料被廣泛應用;然而,它在涂層基體中的分散性和界面相容性仍然受到限制。本研究利用帶負電荷的AC (NAC)和帶正電荷的GO (NGO)靜電自組裝制備了非晶態纖維素(AC)邊緣功能化氧化石墨烯。通過傅里葉紅外光譜(FTIR)和X-射線光電子能譜(XPS)對其結構進行了表征,并通過高分辨率透射電鏡(HRTEM)對其進行了直接觀察。NAC作為納米填料在水性環氧樹脂(WEP)涂料中增強了NGO的防腐性能,因為NAC/NGO復合材料分散良好,與基體有較強的界面相互作用。此外,即使浸泡時間為1024 h, 2.0 wt% NAC/NGO@EP在低頻(f = 0.1 Hz)下的阻抗值為8.955 × 10
8 Ω·cm
2,比純環氧樹脂(EP)高3個數量級。因此,所開發的非晶化和靜電自組裝方法適用于制備纖維素和其他二維材料的復合材料。

圖1. 非晶纖維素(NAC/NGO)制備邊緣功能化氧化石墨烯。

圖2. MCC、AC和NAC的XRD譜圖(a), AC和NAC的FTIR譜圖(b)。

圖3. GO和NGO的FTIR光譜(a), GO和NGO的XPS測量光譜(b-e), GO和NGO的XRD譜圖(f)。

圖4. MCC的SEM圖像(a), AC (b)、NAC (c)、GO (d)、NGO (e)和NAC/NGO (f)的TEM圖像,GO (g)、NGO (h)和NAC/NGO(i)的AFM圖像。

圖5. 純EP (a)、NAC@EP (b)、GO@EP (c)、NGO@EP (d)和2.0 wt% NAC/NGO@EP (e)斷裂面的SEM圖像。

圖6. GO@EP (a)和2.0 wt% NAC/NGO@EP (b)的TEM圖像。

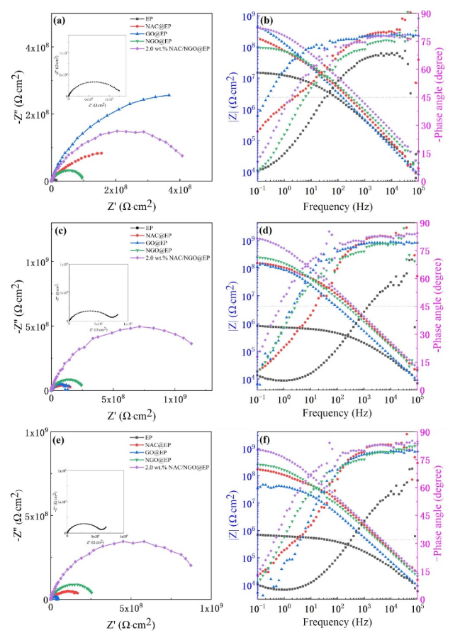
圖7. 在3.5 wt% NaCl溶液中,不同復合材料涂層在鋼表面的EIS曲線:117 h (a, b)、711 h (c, d)和1024 h (e, f)。

圖8. 不同復合涂層的f
b和R
1的擬合結果(a, b), EP、NAC@EP、GO@EP、NGO@EP和2.0 wt% NAC/NGO@EP涂層的R
p和涂層損傷指數的計算結果(c, d)。

圖9. 納米復合涂層的防腐機理: 在3.5 wt% NaCl溶液中浸泡1024 h后,純EP (a)、NAC/NGO@EP (b)的防腐示意圖、GO@EP (c)和NAC/NGO@EP (d)的SEM圖譜,NAC/NGO@EP銹斑內表面XPS測量光譜(600 h中性鹽霧試驗后)(e)。

圖10. 純EP及其復合材料的拉伸強度(a),純EP及其復合材料的DMA結果:存儲模量(b)和tanδ (c)。
相關研究成果由中國科學院金屬研究所沈陽材料科學國家研究中心Jinsong Zhang等人于2023年發表在Applied Surface Science (https://doi.org/10.1016/j.apsusc.2023.156576)上。原文:Amorphous cellulose edge-functionalized graphene oxide for anticorrosive reinforcement of waterborne epoxy coatings。
相關研究成果由中國科學院金屬研究所沈陽材料科學國家研究中心Jinsong Zhang等人于2023年發表在Applied Surface Science (https://doi.org/10.1016/j.apsusc.2023.156576)上。原文:Amorphous cellulose edge-functionalized graphene oxide for anticorrosive reinforcement of waterborne epoxy coatings。
轉自《石墨烯研究》公眾號