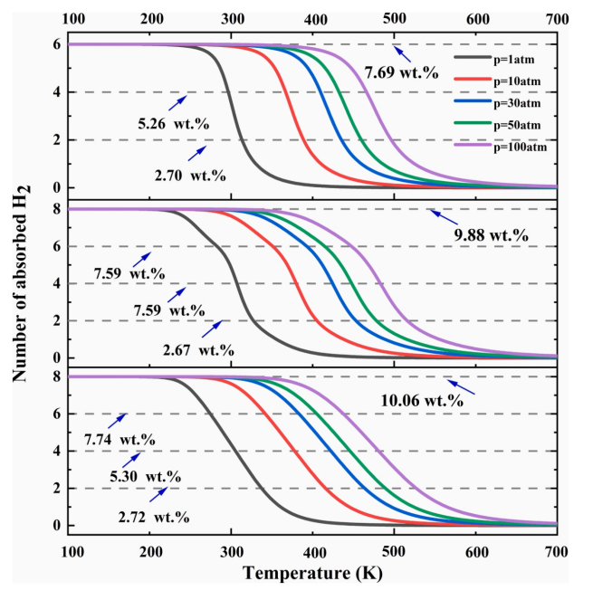
二維碳基材料因其優異的化學穩定性和高比表面積而被認為是潛在的儲氫介質。最近報道了一種新的具有三原子層厚度的二維碳同素異形體孿晶T-石墨烯(TTG)。基于此,我們采用密度泛函理論(DFT)計算研究系統地求解了孿晶T-石墨烯,氮摻雜(N-摻雜)TTG和硼摻雜(B-摻雜)TTG,并評估了它們在可操作熱力學條件下的儲氫性能。6個氫分子吸附在原始孿晶T-石墨烯上,儲氫容量為7.69 wt%。經N摻雜和B摻雜后,孿晶T-石墨烯均能吸附8個氫分子,儲氫容量分別提高到9.88 wt%和10.06 wt%。此外,我們發現加氫/脫氫(脫附)溫度預測為241 K。實際條件下氫氣的解吸溫度和解吸能力進一步表明,它可以作為可逆儲氫介質。研究表明,孿晶T-石墨烯、N-摻雜和B-摻雜孿晶T-石墨烯具有良好的脫附溫度、理想的吸附能和較高的儲氫容量,是一種很有前途的儲氫材料。同時,本研究將拓展雜原子摻雜碳基材料的應用。

圖1. 完全松弛TTG、N-TTG和B-TTG的初基胞和2×2×1幾何構型。(a) TTG (b) N-TTG (c) B -TTG的俯視圖和側視圖。

圖2. 基于GGA-PBE的能帶結構,以及投影態密度(PDOS)。(a-b) TTG, (c-d) N-TTG, (e-f) B-TTG,

圖3. (a) TTG (b) N-TTG和(c) B -TTG的電子定域化函數(ELF)。(紅色表示電子定域化程度高,藍色表示電子定域化程度低。)

圖4. 吸附在TTG上的
nH
2 (
n =2~ 8)分子最佳穩定構型的俯視圖和側視圖。(圈出的H
2分子被認為是自由的,因為它們離基質太遠了。)

圖5. 吸附在N-TTG上的
nH
2 (n = 2 ~ 10)分子最佳穩定構型的俯視圖和側視圖。

圖6. 吸附在B-TTG上的
nH
2 (n = 2 ~ 10)分子最佳穩定構型的俯視圖和側視圖。

圖7. (a) 吸附在TTG (n =2 ~ 8)上H
2分子的PDOS H-s(黑線)軌道和C-p(紅線)軌道;(b)吸附在N-TTG (n =2 ~ 8)上H
2分子的PDOS H-s(黑線)軌道、C-p(紅線)軌道和N-p(藍虛線)軌道;(c) 吸附在B-TTG 上H
2分子的PDOS H-s(黑線)軌道、C-p(紅線)軌道和B-p(綠虛線)軌道。

圖8. 吸附在(a) TTG (b) N-TTG和(c) B-TTG上兩個H
2分子的電荷密度差。吸附在(d) TTG和(e) N-TTG (f) B-TTG上兩個H
2分子的電子定域化函數。

圖9. TTG、N-TTG和B-TTG儲氫數-壓力-溫度(f-p-T)圖。
相關研究成果由西安建筑科技大學理學院 Jinbo Hao和北京郵電大學信息與通信工程學院Xiaoning Guan等人于2023年發表在Applied Surface Science (https://doi.org/10.1016/j.apsusc.2023.156895 )上。原文:Nitrogen-doped or boron-doped twin T-graphene as advanced and reversible hydrogen storage media。
轉自《石墨烯研究》公眾號