為了滿足社會在眾多重要應用和物聯網發展中的要求,人們對能夠在室溫下工作的人工嗅覺單元(或電子鼻)提出了很高的要求。衍生的2D晶體被認為是這方面的傳感元件選擇,釋放了受當前半導體技術限制的先進電子鼻技術的潛力。在此,本研究考慮了基于孔矩陣混合羰基化(C-ny)石墨烯膜的片上多傳感器陣列的制備和氣敏性能,該膜的厚度和酮基濃度逐漸變化,最高可達12.5at.%。C-ny石墨烯對甲醇和乙醇的化學電阻響應增強,當與空氣混合時,濃度為100ppm,以符合OSHA允許的暴露限值。在通過核心級技術和密度泛函理論進行徹底表征后,確定了C-ny石墨烯穿孔結構和大量酮基在推進化學電阻效應中的主導作用。為了推進實際應用,利用多傳感器陣列的矢量信號,通過線性判別分析對所研究的醇進行了選擇性判別,并顯示了所制造的芯片的長期性能。

圖1。研究石墨烯基芯片化學電阻響應的實驗裝置方案:1─空氣壓縮機,2─過濾干燥器,3─精確質量流量控制器,4─三通閥,5─控制閥門的繼電器,6─含有分析物的起泡器,7─法拉第籠,包含安裝在密封不銹鋼室中的芯片,8─數據采集平臺,NI-DAQ,9─萬用表(Keithley-2000),10─PC帶有一個自制的軟件來管理設置。

圖2:基于C-ny石墨烯的片上多傳感器陣列的表征。(a) C-ny石墨烯層厚度逐漸變化的芯片的光學圖像和(b)示意圖模型。插入─芯片的三個不同區域中不同厚度的C-ny石墨烯層的AFM圖像和高度分布;(c) 芯片上的c-ny石墨烯層的厚度和電阻;(d) 單個C-ny石墨烯層的TEM圖像和相應的ED圖案,表示其穿孔結構;(e,f)C-ny石墨烯層的薄(e)和厚(f)區域或厚度分別為4–7和117–153 nm的SEM圖像。

圖3.通過核心級技術對所考慮的石墨烯衍生物的表面化學性質進行表征。(a) 綜述,(b)C1s和(C)O1s C-ny石墨烯、原始rGO和初始GO的高分辨率X射線光電子能譜。為了清晰起見,rGO的O1s光譜被放大了10倍。

圖4.C-ny石墨烯、原始rGO和初始GO的電子結構。(a) 所研究材料的C K邊X射線吸收光譜、(b)截止SE光譜、(C)VB光譜及其二階導數(−d
2I/dE
2)。

圖5.基于石墨烯衍生物的片上多傳感器陣列的氣敏性能。(a,b)具有C-ny石墨烯(上線)和原始rGO的陣列的示例性傳感器元件在干燥空氣中朝向(a)甲醇和(b)乙醇的R(t)趨勢。(c) 化學電阻響應和(d)由c-ny石墨烯和rGO組成的示例性傳感器元件的SNR幅度相對于甲醇和乙醇的濃度。

圖6.基于石墨烯衍生物的片上多傳感器陣列的氣敏性能。(a) 由C-ny石墨烯組成的示例性傳感器在暴露于2000ppm濃度的水蒸氣的六個連續脈沖時的R(t)趨勢(上線)和相應的化學電阻響應(底線)。(b) 由暴露于4000ppm甲醇和乙醇的C-ny石墨烯組成的示例性傳感器的電阻瞬變間隔18個月獲得。(c) 示例性傳感器元件朝向潮濕空氣中的甲醇和乙醇的R(t)趨勢。(d) 示例性傳感器元件的化學電阻響應和SNR幅度相對于潮濕空氣中甲醇和乙醇的濃度。

圖7.檢測分析物VOCs的識別結果,濃度為4000ppm。(a) 多傳感器陣列對干燥空氣和水蒸氣中的醇、氨、丙酮的中值化學電阻響應。(b,c)基于芯片c-ny-的多傳感器陣列上的傳感器元件對干燥空氣中的(d)甲醇和(e)乙醇的化學電阻響應的變化。由于在多個芯片測量中發現的不一致性,60–80 nm范圍內的數據被排除在外。(a) 用于在干燥空氣中為整套分析物記錄的數據的7D LDA總空間的主要3-D橫截面;(b) C-ny石墨烯在干燥和潮濕空氣中對甲醇和乙醇的多傳感器信號的5D LDA總空間的初級LDA分量的2D投影;點是通過LDA聚類的實驗矢量信號數據,分類球是在0.7置信水平的類內數據的高斯分布下構建的,以框定與分析物相關的空間區域。

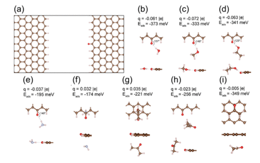
圖8.分析物和C-ny石墨烯之間相互作用的DFT建模。(a) C-ny石墨烯表面的結構。(b–e)對(b)H
2O、(c)CH
3OH、(d)C
2H
5OH和(e)NH
3表現出最大電子受體效應的一組構型。具有最大正累積電荷的(f)NH
3和(g)丙酮的構型。(h) 丙酮的構型顯示出最大的負電荷。(i) 丙酮吸附在原始石墨烯上的構型。

圖9.DFT建模的結果顯示了處于吸附狀態的分析物分子上的電荷與相應的吸附能的關系。帶圓圈的標記表示在原始石墨烯表面上的吸附。
相關研究成果由薩拉托夫國立技術大學Victor V. Sysoev等人2023年發表在ACS Applied Materials & Interfaces (https://doi.org/10.1021/acsami.3c02833)上。原文:Toward On-Chip Multisensor Arrays for Selective Methanol and Ethanol Detection at Room Temperature: Capitalizing the Graphene Carbonylation。
轉自《石墨烯研究》公眾號