電催化析氧反應(OER)是許多可再生能源技術的重要組成部分。開發性價比高、性能好的電催化劑仍然是一個巨大的挑戰。在這里,我們成功地展示了由垂直固定在二維MXene (Ti
3C
2T
x)表面的Ni
3Fe
1基層狀雙氫氧化物(Ni3Fe1- LDH)組成的新型界面催化劑。與可逆性氫電極(RHE)相比,Ni
3Fe
1-LDH /Ti3C2Tx在0.28 V時產生了100 mA cm
−2的陽極OER電流,比原始Ni
3Fe
1-LDH低近74倍。此外,Ni3Fe1-LDH/Ti
3C
2T
x催化劑相對于RHE只需要0.31 V的過電位就可以提供高達1000 mA cm
−2的工業水平電流密度。Ni
3Fe
1-LDH與Ti
3C
2T
x之間具有協同界面作用。密度泛函理論(DFT)結果進一步揭示,Ti
3C
2T
x載體可以有效地加速Ni
3Fe
1-LDH的電子提取,并調整催化位點的電子結構,從而提高OER性能。

圖1. (a) Ti
3C
2T
x和Ni
3Fe
1-LDH/Ti
3C
2T
x的XRD圖案。(b−d) Ni
3Fe
1-LDH/Ti
3C
2T
x的Ti 2p、Ni 2p3/2和Fe 2p3/2的高分辨率XPS光譜。

圖2. (a) SEM圖,(b、c) TEM圖,(d) Ni3Fe1-LDH/Ti3C2Tx元素映射結果。

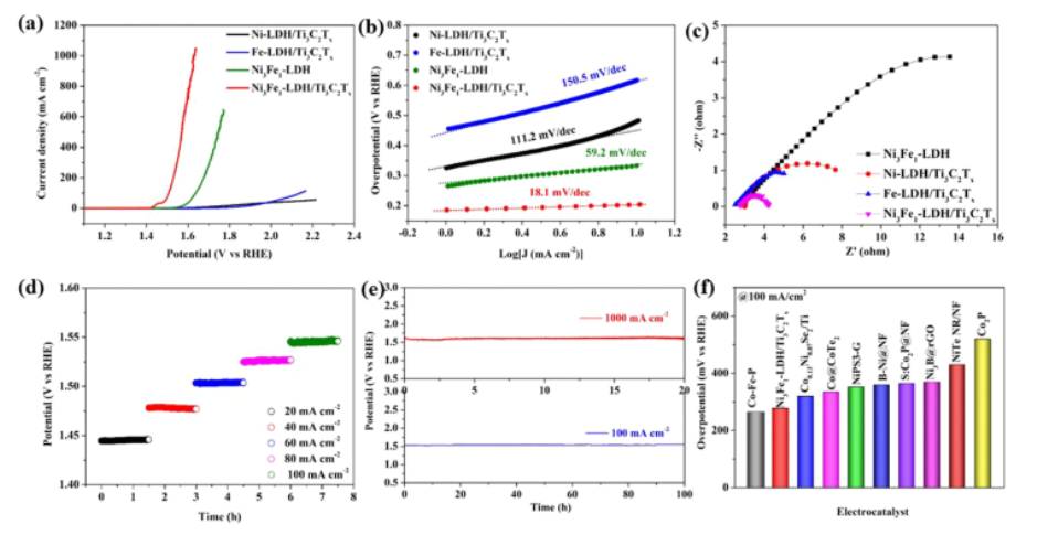
圖3. 電化學性能分析。

圖4. 自由能圖和相應的中間物質對氧的析出反應的機理分析。

圖5. Ni
3Fe
1-LDH/Ti
3C
2T
x和Ni
3Fe
1-LDH在O
2飽和0.1 M KOH (a)和1.0 M KPi (b)的LSV曲線。
相關科研成果由美國猶他州立大學化學與生物化學系Yi Rao等人于2023年發表在The Journal of Physical Chemistry Letters(https://doi.org/10.1016/j.porgcoat.2023.107727.)上。原文:Interface Catalysts of Ni
3Fe
1 Layered Double Hydroxide and Titanium Carbide for High-Performance Water Oxidation in Alkaline and Natural Conditions。
轉自《石墨烯研究》公眾號