農產品中黃曲霉毒素的去除是一個迫切需要解決的問題。本文合成了一種多孔石墨氮化碳/氧化石墨烯水凝膠微球(CN/GO/SA),用于降解花生油中的AFB
1。采用掃描電鏡(SEM)、X-射線衍射(XRD)和紅外光譜(FT-IR)對CN/GO/SA進行了表征。GO的引入顯著提高了光催化劑的吸附能力和可見光活性。在可見光下,20%的CN/GO/SA去除了花生油中98.4%的AFB
1,脫除時間為120 min。O
2-和h
+是光化反應的主要活性物質,UPLC-Q-Orbitrap MS分析鑒定出5種降解產物。同時,處理后的花生油質量仍可接受。更重要的是,CN/GO/SA具有優異的循環穩定性,經過5次循環后,花生油中AFB
1的降解率保持在95%以上。本研究為開發高效、可持續的光催化劑降解食用油中的霉菌毒素提供了可行的途徑。

圖1. SA (a)、CN/SA (b)和CN/GO/SA (c)樣品的外觀和尺寸。SA(d);CN/SA (e);CN/GO (f);CN/GO/SA (g)的SEM圖像。

圖2. CN/GO/SA的XPS光譜(a)和C1s (b)、N1s (c)和O1s (d)高分辨光譜。催化劑的XRD譜圖(e)。催化劑的FT-IR光譜。(f). CN/GO/SA的UV-Vis DRS漫反射光譜(g)和Tauc圖(h)。

圖3. 不同條件對CN/GO/SA催化劑降解花生油中AFB
1的影響。(a)催化劑的吸附能力。(b)不同類型的催化劑。(c) CN/GO在CN/GO/SA催化劑中的摻雜比例。(d)催化劑用量和輻照時間。(e)光源。(f) AFB
1的初始濃度。(g)動力學行為。(h)催化劑的可重用性。

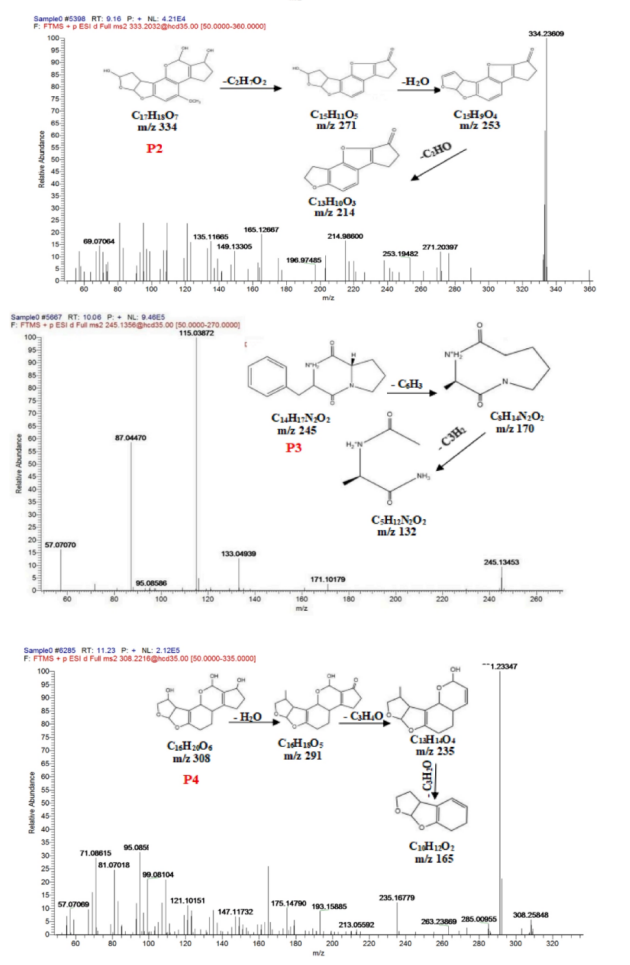
圖4. CN/GO/SA降解花生油中AFB
1時的活性物質(a)和降解中間體(b)。

圖5. 光催化過程中花生油理化指標的變化。(a)酸值。(b)波定值。(c)過氧化值。(d)氧化穩定性。
相關研究成果由河南工業大學Yanli Xie等人于2023年發表在Food Chemistry (https://doi.org/10.1016/j.foodchem.2023.135964)上。原文:Porous Graphitic phase carbon nitride/graphene oxide hydrogel microspheres for efficient and recyclable degradation of aflatoxin B
1 in peanut oil。
轉自《石墨烯研究》公眾號