Ti
3C
2T
x作為MXene家族的典型代表,因其優異的透光率、電導率、可調功函數(WF)和低溫溶液可加工性等性能而備受關注。然而,Ti
3C
2T
x中需要調整的功函數和大量的晶體缺陷極大地限制了其在電子器件中的應用。本文通過對Ti
3C
2T
x進行氨基酸修飾來調節Ti
3C
2T
x的WF并鈍化其缺陷位點,從而改善Ti
3C
2T
x的電性能,提高有機太陽能電池(OSCs)的性能。氨基酸與Ti
3C
2T
x通過電荷轉移相互作用,在表面形成表面偶極子,降低了Ti
3C
2T
x的WF。此外,氨基酸的-NH
2鈍化Ti
3C
2T
x中帶負電荷的Ti空位,而氨基酸的-COOH鈍化帶正電荷的C空位,從而提高Ti
3C
2T
x的電導率。因此,以氨基酸修飾的Ti
3C
2T
x作為新型電子傳遞層(ETL)的OSCs表現出超過18%的功率轉換效率(PCE)和良好的器件穩定性。這項工作表明,高性能的OSCs可以通過使用環境友好的氨基酸來制造,這激發了研究人員尋找利用天然材料制造高效設備的想法。

圖1. Ti
3C
2T
x的(a)TEM圖,(b) HRTEM, (c) AFM圖像。

圖2. (a) Ti 2p, (b) O 1s和(c) Ti
3C
2T
x的高分辨率XPS光譜。(a) Ti 2p, (b) O 1s和(c) F 1s的Ti
3C
2T
x/ Gly的高分辨率XPS光譜。Ti
3C
2T
x和氨基酸修飾的Ti
3C
2T
x的(g) Ti 2p、(h) O 1s和(i) F 1s的變化趨勢。

圖3. (a)紅外光譜;(b) Ti
3C
2T
x、Ti
3C
2T
x/Gly、Ti
3C
2T
x/D-Ala、Ti
3C
2T
x/L-Cys、Ti
3C
2T
x/L-Lys、Ti
3C
2T
x/L-Arg的放大紅外光譜。

圖4. (a)甘氨酸、d -丙氨酸、l -半胱氨酸、l -賴氨酸和l -精氨酸的分子結構和映射到總電子表面的ESP。(b) Glycine和Ti
3C
2T
x通過氫鍵相互連接的示意圖。(c) Ti
3C
2T
x界面甘氨酸形成偶極子引起的能級變化示意圖。(d) Ti
3C
2T
x、Ti
3C
2T
x/Gly、Ti
3C
2T
x/ d - ala、Ti
3C
2T
x/L-Cys、Ti
3C
2T
x/L-Lys、Ti
3C
2T
x/ L-Arg的UPS光譜。

圖5. 甘氨酸與Ti
3C
2T
x表面不同官能團(a) -F、(b) -O、(c) -OH、(d) Ti原子空位相互作用的微分電荷分布圖。

圖6 (a) Ti
3C
2T
x、Ti
3C
2T
x/Gly、Ti
3C
2T
x/D-Ala、Ti
3C
2T
x/L-Cys、Ti
3C
2T
x/L-Lys、Ti
3C
2T
x/L-Arg薄膜的拉曼光譜和(b) EPR光譜。(c)經甘氨酸鈍化的Ti
3C
2T
x表面的示意圖。(d) Ti
3C
2T
x和Ti
3C
2T
x/Gly薄膜中的載流子轉移和重組示意圖。(e) ITO/Ti
3C
2T
x或經氨基酸/Ag器件修飾的Ti
3C
2T
x的I-V特性。

圖7 (a)本工作中使用的OSCs裝置的結構。(b)各層能級示意圖。(c) J-V曲線和(d)以Ti
3C
2T
x、Ti
3C
2T
x/Gly、Ti
3C
2T
x/ d - ala、Ti
3C
2T
x/L-Cys、Ti
3C
2T
x/L-Lys、Ti
3C
2T
x/L-Arg和ZnO作為etl的PM6:BTP-eC9 OSCs的EQE光譜。以Ti
3C
2T
x/L-Lys為ETLs的PM6:BTP-eC9 (e)柔性器件和(f)大面積(0.99 cm
2)器件的J-V曲線。

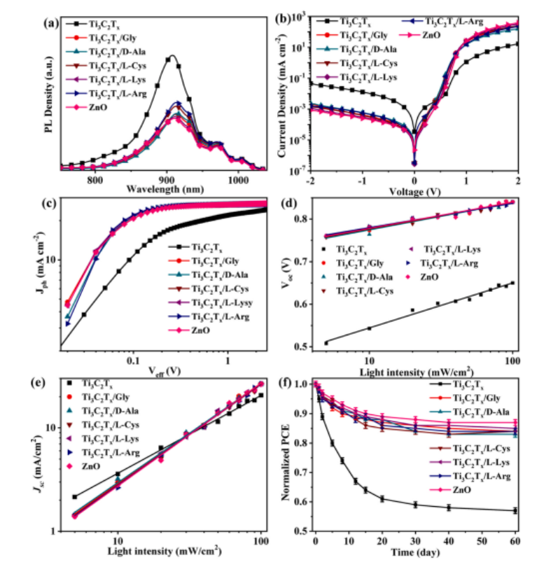
圖8 (a)基于Ti
3C
2T
x、Ti
3C
2T
x/Gly、Ti
3C
2T
x/D-Ala、Ti
3C
2T
x/L-Cys、Ti
3C
2T
x/L-Lys、Ti
3C
2T
x/L-Arg和ZnO作為ETLs的PM6:BTP-eC9 flms的PL光譜。(b)暗條件下JV曲線,(c) Jph-Veff曲線,(d) Voc-I曲線,(e) Jsc-I曲線,(f)以Ti
3C
2T
x、Ti
3C
2T
x/Gly、Ti
3C
2T
x/ d - ala、Ti
3C
2T
x/L-Cys、Ti
3C
2T
x/L-Lys、Ti
3C
2T
x/L-Arg和ZnO為etl的基于PM6的OSCs中未封裝器件的長期穩定性性能。
相關科研成果由華南理工大學物理與光電學院Huangzhong Yu等人于2023年發表在Nano Energy(https://doi.org/10.1016/j.nanoen.2023.108691)上。原文:Amino acid modifed Ti
3C
2T
x as electron transport layers for high-performance organic solar cells.
原文鏈接:https://www.sciencedirect.com/science/article/pii/S2211285523005281?via%3Dihub。
轉自《石墨烯研究》公眾號