鄰苯二甲酸酯(PAEs)是一種廣泛使用的增塑劑。鄰苯二甲酸二丁酯(dibutyl phthalate, DBP)是天然水體中普遍存在的一種PAEs。DBP容易浸出或遷移到環境中,造成嚴重的健康和環境風險。隨著納米技術的快速發展,碳納米管已廣泛應用于各個領域。CNTs可以改變共存污染物的環境行為和毒性。CNTs已被證明能迅速吸附豌豆。然而,目前關于CNTs對DBP毒性影響的知識有限。在本研究中,我們展示了DBP (0.1, 0.5, 1.0 mg/L)和不同CNTs (MWCNTs/MWCNTsCOOH, 0.5 mg/L)單獨和聯合暴露對斑馬魚生長早期的毒性作用。結果表明,DBP與MWCNTs/MWCNTs-COOH共暴露后,心率和心臟畸形率顯著增加(p<0.05)。此外,聯合暴露增加了斑馬魚早期發育階段的抗氧化酶活性(p<0.05)。qRT-PCR結果顯示DBP和MWCNTs/MWCNTs-COOH共暴露顯著干擾與氧化應激、能量代謝、心功能發育和細胞凋亡相關基因的表達(p<0.05)。此外,在氧化應激和心臟毒性方面,MWCNTs/MWCNTs- cooh加重了0.5 mg/L DBP對胚胎/幼蟲的毒性作用。代謝組學結果顯示,聯合暴露可改善單次DBP暴露介導的氨基酸代謝紊亂。總的來說,MWCNTs/MWCNTs-COOH在斑馬魚的早期發育階段增加了DBP的影響。本研究為暴露于DBP和CNTs共存污染物的水生生物早期發育階段的毒理學提供了新的見解。

圖1. 單獨暴露和共同暴露于斑馬魚胚胎幼魚的發育毒性。

圖2. 觀察不同濃度DBP染毒及與MWCNTs/MWCNTs-COOG共染毒144hpf后斑馬魚胚胎/幼魚心臟發育毒性基因mRNA的相對表達量。

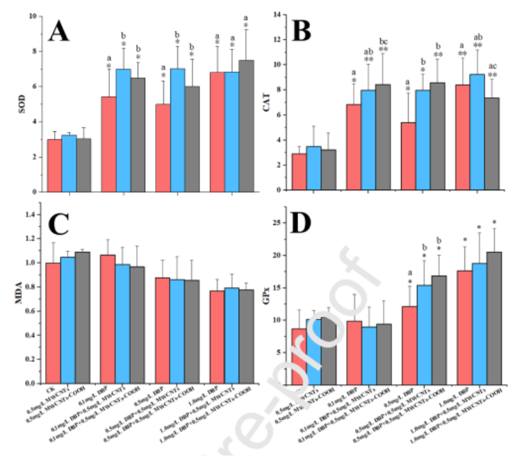
圖3. 暴露于不同處理組對斑馬魚幼蟲酶活性的影響。

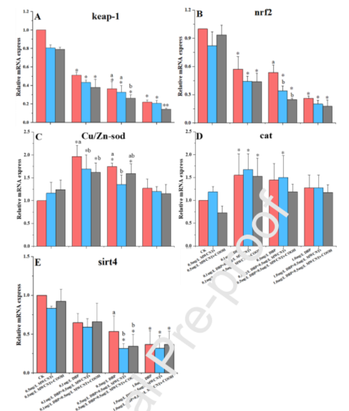
圖4. 不同濃度DBP染毒及與MWCNTs/MWCNTs-COOH共染毒144hpf后,斑馬魚胚胎/幼魚氧化應激相關基因的mRNA相對表達量。

圖5. 不同濃度DBP染毒及與MWCNTs/MWCNTs-COOH共染毒144hpf對斑馬魚胚胎/幼魚凋亡基因mRNA相對表達量的影響.以及不同處理組斑馬魚幼蟲吖啶橙染色后細胞凋亡的變化。

圖6 DBP單獨暴露以及DBP和MWCNTs/MWCNTsCOOH聯合暴露于斑馬魚幼魚的代謝特征。
相關科研成果由內蒙古大學生態與環境學院Hongwu Liang等人于2023年發表在Science of the Total Environment(https://doi.org/10.1016/j.scitotenv.2023.165684)上。原文:Multi-walled carbon nanotubes enhance the toxicity effects of dibutyl phthalate on early life stages of zebrafish (Danio rerio): Research in physiological, biochemical and molecular aspects.
原文鏈接:https://doi.org/10.1016/j.scitotenv.2023.165684。
轉自《石墨烯研究》公眾號