中紅外硅光子學因其在開發芯片集成分子傳感器方面的巨大潛力而備受關注。微環諧振器(MRRs)具有高質量的因數、優異的制造重現性和緊湊的器件尺寸等優點,是一種有潛力的硅光子傳感器件。然而,昂貴和笨重的中紅外設備,即可調諧激光器或光譜儀,可能會限制基于MRR的傳感設備的應用。在這里,我們從理論上研究了一種基于MRR的二氧化氮氣體傳感器,用單色中紅外激光探測,以克服這一限制。此外,石墨烯被用作敏化介質,通過改變氣體分子吸附后硅波導中傳播光的相位。具體來說,我們的傳感器在理論上實現了1.259 × 10
-5 RIU/ppm的靈敏度,5.1 ppm的檢測限和5135 ppm的檢測范圍。我們的研究有望為開發芯片集成、低成本、高靈敏度的光學氣體傳感器打開一扇門。

圖1. 提出的石墨烯敏化MRR氣體傳感器示意圖。(a)氣體傳感器三維示意圖。(b)石墨烯覆蓋的SOS MRR的波導截面。電極可以用來改變硅波導中自由載流子的濃度,也可以用來調節外電場下石墨烯的費米能級。(c)石墨烯敏化MRR氣體傳感器俯視圖。(d)共振波長處MRR的電場分布。

圖2. SOS波導中紅外透明窗口內的有效RI (a)和光吸收系數(b)隨波長和注入自由載流子濃度的變化。

圖3. 計算了石墨烯費米能級的變化和石墨烯覆蓋SOS波導的RI。(a)石墨烯費米能級隨NO
2氣體濃度的變化。(b)石墨烯覆蓋SOS波導的有效RI與石墨烯費米能級變化的關系。

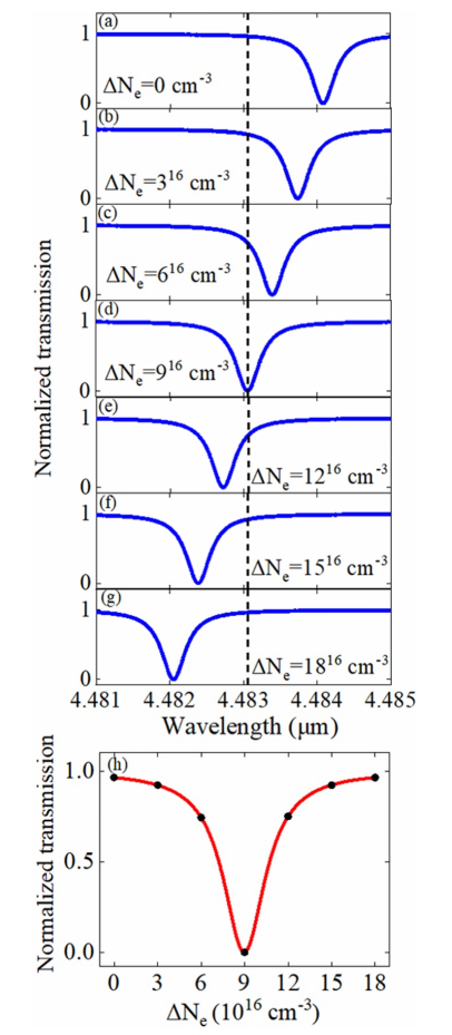
圖4. 不同自由載流子濃度(a)-(g),石墨烯覆蓋的MRR在波長域的歸一化透射率,以及在4.48306 μm (h)波長處的MRR透射率采樣。

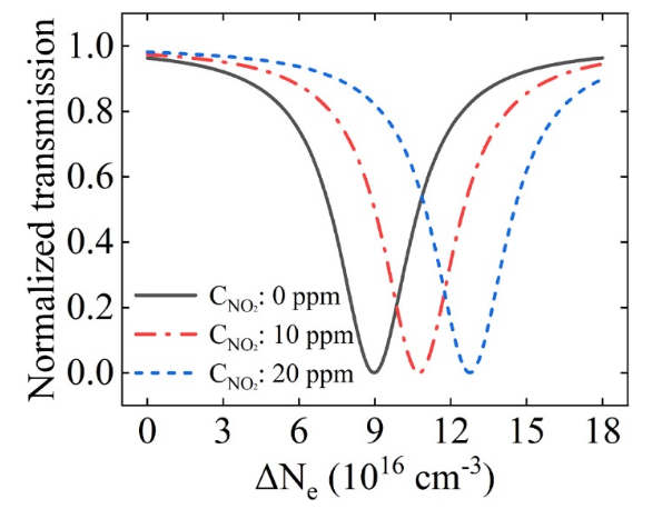
圖5. 不同氣體濃度下,石墨烯覆蓋MRR的歸一化透射率隨注入自由載流子濃度的變化。

圖6. LOD和測量范圍與Al
2O
3厚度的關系。
相關研究成果由天津大學精密儀器與光電子工程學院、光電信息技術教育部重點實驗室Qi He等人于2023年發表在Optics Communications (https://doi.org/10.1016/j.optcom.2023.129447)上。原文:Graphene-sensitized microring gas sensor probing with a single-wavelength laser。
轉自《石墨烯研究》公眾號