硅負極的合理設計是應對固體電解質界面破裂導致的體積膨脹、硅電導率差和容量衰減等挑戰的有效手段。我們設計了一個石墨烯限制Si@Cu核殼結構(Si@Cu@rGO)作為集成陽極,其中硅納米表面的銅殼增強了硅顆粒和石墨烯之間的電子導電性。同時,銅殼和石墨烯的柔韌性有助于抑制循環過程中電極形態的變化,并保持電極材料與集電極之間的良好接觸。石墨烯包層不僅有效地阻止Si@Cu納米顆粒的聚集,還為鋰化過程中硅的膨脹提供了足夠的空間,而三維氧化還原石墨烯層構建了導電結構,加速了電池的反應動力學。通過這種設計,Si@Cu@rGO具有令人滿意的電化學性能。經過70次倍率性能測試,Si@Cu@rGO的比容量達到2243.1 mAh g
-1。
.png)
圖1. 核殼Si@Cu/rGO制備示意圖。

圖2. (a)復合材料的XRD譜圖包括立方硅的參考譜圖;(b)復合材料拉曼光譜。

圖3. . (a, b) Si@Cu,(c, d) Si@rGO,(e, f) Si@Cu@rGO的SEM和TEM圖像, (g) EDS元素映射圖。

圖4. (a) Si@Cu@rGO的XPS測量譜;(b) Si 2p, (c) Cu 2p, (d)C 1s高分辨率XPS圖譜。

圖5. (a) TGA曲線;(b)制備的復合材料的FT-IR圖;(c) Si@Cu@rGO復合材料的N
2吸附-解吸等溫線和(d)孔徑分布。

圖6. (a) Si@rGO和(c) Si@Cu@rGO陽極在0.1 mV/s時的CV曲線;(b) Si@rGO和(d) Si@Cu@rGO在100 mAg
-1時的充放電曲線。

圖7. 電流密度為(a) 0.1 Ag
-1和(b) 1 Ag
-1時的長循環性能圖像;(c)倍率性能;(d) Si@Cu@rGO的優點。

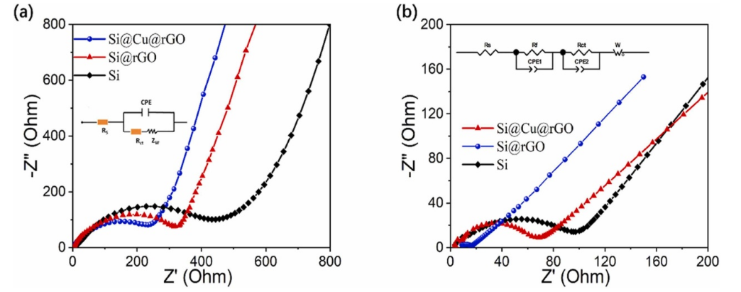
圖8. (a)循環前和(b)循環50次后Si, Si@rGO和Si@Cu@rGO的Nyquist阻抗圖。

圖9. 循環前(a, g) Si, (b, h) Si@rGO和(c, j) Si@Cu@rGO的表面和截面的SEM圖像; 在1Ag
-1時150次循環后(d, j) Si, (e, k) Si@rGO和(f, l) Si@Cu@rGO的表面和截面的SEM圖像。
.png)
圖10. (a) 0.1 Ag
-1和(b) 1 Ag
-1電流密度時Si@Cu@rGO-n (n=1,2,3)的長循環性能;(c) Si@Cu@rGO-n (n=1,2,3)的倍率性能。
相關研究成果由北京化工大學化工資源有效利用國家重點實驗室、碳纖維及功能高分子教育部重點實驗室、北京市水處理環保材料工程技術研究中心Jing-Zhou Chen等人于2023年發表在Journal of Alloys and Compounds (https://doi.org/10.1016/j.jallcom.2023.169681)上。原文:Graphene confined core-shell Si@Cu nanoparticles as integrated anode with enhanced capacity and high-rate performance for Li-ion batteries。
轉自《石墨烯研究》公眾號