通過KNO
3輔助爆炸并遵循毛細管致密化工藝,開發了一種用于鋁復合離子超級電容器(Al-SC)的石墨烯氧化物基碳電極材料,該材料具有大的比表面積和存儲正負離子的活性位點。使用由氯化鋁和離子液體組成的雙鹽電解質,在電流密度為0.5 A g
-1和電壓為0至3.5 V的情況下,Al SC的電容達到549 F g
-1。表征和對照實驗表明,特殊的多孔結構和豐富的含氧基團使Al SC具有233 W h kg
-1的顯著高能量密度和17500 W kg
-1超高功率密度。通過非原位表征和理論計算,研究了鋁配合離子的電化學存儲機理。這種Al-SC為基于鋁物種的電化學儲能鋪平了道路。

圖1.(a) GO–P的爆炸,(b)GO–K–P的爆破,(c)XRD圖譜,以及(d)GO、GO–P、GO–P–W、GO–K–P和GO–K-P–W的拉曼光譜。

圖2:所有樣品的XPS(a)測量光譜、(b)C1s光譜和(C)O1s光譜。

圖3.(a)GO、(b)GO–P、(c)GO–P-W、(d)GO–K-P和(e)GO–K–P-W的TEM圖像。

圖4.使用EMIMBF
4作為電解質的可充電超級電容器的電化學性能。(a) 在50 mV s
-1的掃描速率下測試的所有樣品的CV曲線,(b)在1 a g
-1的電流密度下測量的所有樣本的CCD曲線,(c)在不同掃描速率下的GO–K–P–W的CV曲線和(d)在不同電流密度下測試的GO–K–P–W的CCD曲線。

圖5.EMIMBF
4電解質中不同鹽(LiCl、KCl、NaCl、ZnCl
2和AlCl
3)的電化學性質。(a) 在50 mV s
-1的EMIMBF
4、LiCl/EMMBF
4、KCl/EMIMBF
4、NaCl/EMMbf
4和ZnCl
2/EMIMBF
4下測試的CV曲線。(b) 在0.5 A g
-1的EMIMBF
4、LiCl/EMMBF
4、KCl/EMIMBF
4、NaCl/EMMbf
4和ZnCl
2/EMIMBF
4下測量的CCD輪廓。(c) 在50 mV s
-1的EMIMBF
4和AlCl
3/EMIMBF
4。(d) 在0.5 A g
-1的EMIMBF
4和AlCl
3/EMIMBF
4。(e) 在2 A g
-1的電流密度下,以純EMIMBF
4和AlCl
3/EMIMBF
4為電解質進行10000次循環的器件穩定性測試。

圖6.(a) EMIMBF
4和AlCl
3/EMIMBF
4電解質的拉曼光譜。(b) 分子動力學模擬第2000步AlCl
3/EMIMBF
4電解質的配置。

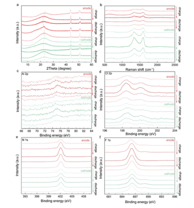
圖7.不同充放電電壓下電極的非原位表征。(a) (c)Al 2p、(d)Cl 2p、、(e)N 1s和(f)F 1s的XRD圖譜、(b)拉曼光譜和XPS光譜。
相關研究成果由河北農業大學Ningzhao Shang和河北大學Yongjun Gao等人2023年發表在ACS Applied Energy Materials (鏈接:https://doi.org/10.1021/acsaem.3c01679)上。
原文:Graphene Oxide-Based Aluminum Complex Ion Supercapacitor
轉自《石墨烯研究》公眾號